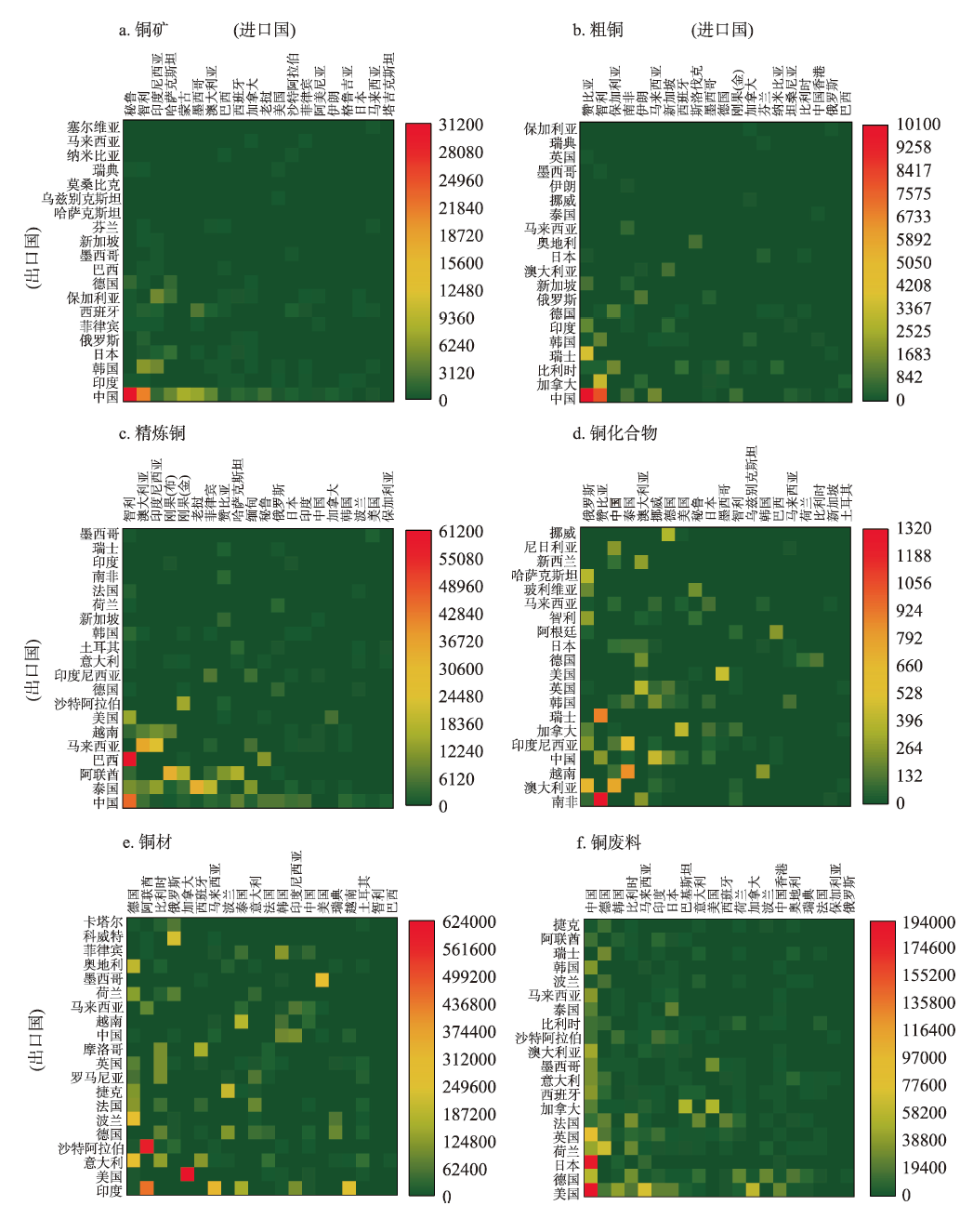
| 金属资源 | 清单产品 | 主要生产工艺技术 | 应用国家或地区 |
|---|---|---|---|
| 铜矿 | 铜精矿 | 硫化矿采选工艺 | 亚洲、欧洲、澳大利亚、北美、南美、全球 |
| 粗铜 | 含铜量98.5% | 火法 | 亚洲、欧洲、澳大利亚、北美、南美、中国、全球 |
| 精炼铜 | 含铜量99.99% | 火法;湿法 | 亚洲、欧洲、澳大利亚、北美、南美、中国、全球 |
| 铜化合物 | 氧化铜、硫酸铜 | (化学反应方程式) | 亚洲、欧洲、澳大利亚、北美、南美、全球 |
| 铜材 | 铜片、铜管、铜丝 | 压铸、锻造、轧制 | 欧洲、北美、中国、乌克兰、巴西 |
| 铜废料 | 铜废碎料 | 焚烧;循环利用 | 欧洲、非洲、日本、德国、中国、美国、巴西 |