资源经济

中国数字基础设施发展水平的时空格局

  • 刘建君 , 1 ,
  • 梁大鹏 , 2
展开
  • 1.哈尔滨工业大学商学院,哈尔滨 150006
  • 2.哈尔滨工业大学经济与管理学院,哈尔滨 150006
梁大鹏,男,山东栖霞人,博士,教授,研究方向为低碳发展与创新战略。E-mail:

刘建君,男,黑龙江哈尔滨人,博士研究生,研究方向为环境经济学。E-mail:

收稿日期: 2024-06-21

  修回日期: 2024-11-26

  网络出版日期: 2025-07-04

基金资助

国家自然科学基金项目(72174043)

The spatiotemporal pattern of digital infrastructure development level in China

  • LIU Jianjun , 1 ,
  • LIANG Dapeng , 2
Expand
  • 1. Business School, Harbin Institute of Technology, Harbin 150006, China
  • 2. School of Management, Harbin Institute of Technology, Harbin 150006, China

Received date: 2024-06-21

  Revised date: 2024-11-26

  Online published: 2025-07-04

摘要

【目的】 数字基础设施为新质生产力形成提供持续驱动力。揭示中国数字基础设施发展水平的时空演变、区域差异及空间收敛特性,对于助力区域均衡发展、赋能高质量发展,进而推动新质生产力发展具有重要意义。【方法】 基于2013—2022年中国省级面板数据,构建涵盖数字基础设施建设与应用的指标评价体系,利用熵值法、泰尔指数、收敛模型、双向固定效应模型和空间计量等方法,对数字基础设施的时空演变、区域差异和空间收敛性进行深入研究。【结果】 ①中国数字基础设施发展水平整体呈上升趋势,但存在空间差异,呈现出东部地区水平较高、西部和东北地区相对较低的空间分布特征。②数字基础设施发展水平的总体差异逐渐缩小,由区域间差异转向区域内差异,区域内差异呈现“东部>西部>中部>东北”的层次结构。③在收敛特性上,中国数字基础设施发展水平的收敛性逐渐呈现缩小趋势,全国及各区域数字基础设施发展水平均表现出空间条件收敛特性,其具体收敛速度依次为:中部地区最快,其次为西部、东部,东北地区最慢。【结论】 补齐数字基础设施发展短板、缩小区域差距、加强跨区域联动是实现区域均衡发展的关键。本文还为推动区域数字基础设施趋同发展及因地制宜制定政策提供了理论支持与实践指导。

本文引用格式

刘建君 , 梁大鹏 . 中国数字基础设施发展水平的时空格局[J]. 资源科学, 2025 , 47(6) : 1295 -1311 . DOI: 10.18402/resci.2025.06.10

Abstract

[Objective] Digital infrastructure serves as a sustained driving force for the formation of new-quality productive forces. This study aims to reveal the spatiotemporal evolution, regional disparities, and spatial convergence characteristics of digital infrastructure development in China. This is of great significance for promoting balanced regional development and empowering high-quality growth, and thereby driving the development of new productive forces. [Methods] Using China’s provincial panel data from 2013 to 2022, an indicator evaluation system for digital infrastructure construction and application was established. Methods such as the entropy method, Theil index, convergence models, two-way fixed effects models, and spatial econometrics were employed to conduct an in-depth analysis of the spatiotemporal evolution, regional disparities, and spatial convergence of digital infrastructure. [Results] (1) The level of digital infrastructure development in China exhibited an overall upward trend, but there are spatial differences. It shows a spatial distribution pattern where the eastern region has a higher level, while the western and northeastern regions are relatively lower. (2) The overall differences in the development level of digital infrastructure are gradually narrowing. The differences are shifting from being mainly between regions to being more pronounced within regions. The regional differences within regions show a hierarchical structure of “eastern > western > central > northeastern”. (3) In terms of convergence characteristics, a gradually weakening trend was observed in the convergence of China’s digital infrastructure development level. Both national and regional levels of digital infrastructure development demonstrated spatial conditional convergence, with convergence speeds ranked as follows: the central region was th e fastest, followed by the western and eastern regions, while the northeastern region was the slowest. [Conclusion] Bridging the gaps in digital infrastructure development, reducing regional disparities, and strengthening cross-regional collaboration are key to balanced regional development. This study provides theoretical support and practical guidance for promoting the convergent development of regional digital infrastructure and formulating tailored policies based on regional conditions.

1 引言

近年来,中国经济发展的目标由经济高速增长转变为高质量增长[1,2],相应地,经济增长的主要驱动力也发生了变化。传统经济增长依靠的生产要素包含劳动、资本、自然资源等,其要素流动依靠公路、铁路、石油管道等传统交通基础设施。而在数字化飞速发展的今天,数据已成为关键的生产要素,工业互联网、5G、卫星互联网等构成了支撑数据安全流通、高效连接和价值释放的核心数字基础设施。与传统基础设施相比,数字基础设施具有明显的数字化特征和创新导向,它是决定长期经济增长的重要因素[3]。在新质生产力的框架下,数字基础设施作为新型基础设施(新基建)的重要体现[4],其时空演变现状、区域差异及空间收敛性亟需被精准把握。这不仅对于推进中国数字经济发展及实现整个经济社会传统行业的数字化转型具有关键意义,也为产业培育和形成新质生产力提供了持续动能。
国内外研究学者围绕信息、网络、互联网等数字基础设施和新型基础设施建设进行了研究。首先,学者们围绕数字基础设施的量化展开了相关研究。主要采用两种方式:①以“宽带中国”试点城市政策作为衡量数字基础设施的代理变量[5,6]。②通过投入类指标进行测量,包括:信息传输、计算机服务和软件业的投资量[7]、互联网普及率[8]、移动信息基站数[9]、互联网或移动电话用户数[10,11]。其次,学者们针对数字基础设施产生的各类效应进行了评估,包括:这些效应包括经济效应[12,13]、减排效应[14,15]、就业效应[16,17]、产业结构效应[18]、技术创新效应[19,20]。最后,学者们对数字基础设施与新基建的关系进行了探讨,将数字基础设施视为广义新基建的一部分,并在此框架下研究广义新基建的发展现状及驱动因素。数字基础设施属于狭义新基建,而广义新基建包括数字基础设施、融合基础设施及创新基础设施[21]。学者从描述统计层面对广义新基建的发展现状及存在的问题进行了简要概述[22]。此外,部分学者还对广义新基建的时空演变特征和驱动因素进行了探索[23],并进一步对广义新基建与经济韧性耦合的时空演化、区域差异和驱动因素进行了分析[24,25]
通过对相关文献的系统梳理,本文期望在以下三方面作出边际贡献:①现有研究多采用准自然实验法或者以单一指标对数字基础设施测度[26],且在指标选取上更侧重于信息基础设施[27]。本文拟系统地构建具有“数字化”属性的数字基础设施指标体系。该指标体系将不仅考虑数字基础设施的建设层面,还关注其应用层面,从而为精准衡量数字基础设施发展水平提供新的视角。②现有研究重点考察数字基础设施产生的各类效应,而对其在地理和经济层面上的空间相关性研究相对不足。为此,本文将系统探讨中国数字基础设施发展的空间相关性。还将从存量和增量视角考虑其空间收敛性特征,为全面理解其空间动态演变提供了更加坚实的理论支撑。③现有研究聚焦于广义新基建概念上的阐释,部分研究对广义新基建的时空演变特征和驱动因素进行了探索。然而,广义新基建中的融合基础设施是对传统基础设施的数字化改造和升级,且涵盖领域较多,因此对于广义新基建的研究难以精准聚焦于数字基础设施。而数字基础设施在推动经济社会数字化转型、培育新质生产力等方面发挥着至关重要的作用,其发展特征和驱动因素也与其他领域存在显著差异。现有研究对数字基础设施发展的时空演变特征、区域差异性及驱动因素的考察相对不足。本文将系统剖析中国数字基础设施发展的时空演变格局、区域差异性及其驱动因素,揭示其发展的内在规律。
鉴于此,本文首先以中国2013—2022年的30个省级面板数据作为样本,构建数字基础设施建设与应用双重维度的指标评价体系,运用熵值法、泰尔指数测算等方法,分析中国数字基础设施发展水平的时空演变与区域差异性,揭示区域数字基础设施发展不平衡的现象。其次,根据全局和局部莫兰指数结果、相关空间模型检验,构建适用于中国及各地区的空间计量模型,并基于σ收敛和β相对收敛,结合地理空间权重矩阵和经济与地理结合的空间权重矩阵,分析数字基础设施发展的空间收敛特征和主要驱动因素。最后,结合各区域发展的实际情况,提出因地制宜的政策提升建议,为推动全国及区域数字基础设施发展提供政策启示。

2 研究方法与数据来源

2.1 研究方法

2.1.1 数字基础设施发展水平的测算方法

本文在数字基础设施内涵和特征的基础上[28],借鉴《中国互联网络发展状况统计报告》中互联网基础建设相关指标,并结合既有研究成果[29,30],从数字基础设施建设和数字基础设施应用双重维度创新性地选取12个指标确定数字基础设施发展水平的衡量方式(表1)。
表1 数字基础设施发展水平指标构建

Table 1 Establishment of indicators for digital infrastructure development level

一级指标 二级指标 三级指标 数据来源
数字基础设施
发展水平
数字基础设施
建设
互联网宽带接入端口数/万个 《中国统计年鉴》
互联网域名数/万个 《中国统计年鉴》
单位面积长途光缆线路长度/(km/km2 《中国统计年鉴》
数字基础设施投入存量/亿元 《中国固定资产投资统计年鉴》《中国统计年鉴》
移动电话基站数/万个 《中国统计年鉴》
人工智能企业数/个 天眼查(https://www.tianyancha.com/
数字基础设施
应用
互联网宽带普及率/% 《中国统计年鉴》
移动电话普及率/% 《中国统计年鉴》
数字金融普惠指数 北京大学数字金融研究中心
电子商务交易活动企业比例 《中国统计年鉴》
每百家企业拥有网站数/个 《中国统计年鉴》
企业电子商务占GDP比重 《中国统计年鉴》
选取客观熵权法对数字基础设施的发展水平相关指标进行赋权,以测度数字基础设施发展水平。具体方法如下:
首先,对数字基础设施的12个指标原始数据进行标准化处理,指标均为正向指标,其公式如下:
x i j ' = x i j - m i n x i j m a x x i j - m i n x i j
式中:i为省份;j为指标;xij'为标准化后的指标值;xij为原始值; m a x x i j m i n x i j分别为最大值和最小值。
其次,测算数字基础设施发展水平各测度指标xij的信息熵Ej
E j = - l n 1 n i = 1 n x i j i = 1 n x i j l n x i j i = 1 n x i j
式中:n为省份的个数。
再次,测算数字基础设施发展水平各测度指标xij的权重ωj
ω j = 1 - E j j = 1 m 1 - E j
式中:m为指标的个数。
最后,结合各指标标准化的数值 x i j '和各指标的权重ωj,测算2013—2022年中国省级层面的数字基础设施发展水平 D i,其计算公式为:
D i = j = 1 m ω j x i j '

2.1.2 泰尔指数及其贡献率的测算方法

本文将中国分为东部、中部、西部和东北4个地区 。为揭示中国数字基础设施发展水平的区域内和区域间差异及贡献率,利用泰尔指数及其分解法对2013—2022年的中国数字基础设施发展水平的总体差异T、各区域的总体差异泰尔指数Tp,以及区域内差异泰尔指数Tw和区域间差异泰尔指数Tb进行测算。
全国范围内,数字基础设施发展水平存在显著差异。总体差异T对于揭示各省份在数字基础设施发展方面的不平衡情况至关重要。进一步地,将总体差异分解到东部、中部、西部和东北各地区的差异,研究这些区域内部省份之间的发展差异Tp。如果某区域内部数字基础设施存在较大的差异,可能会影响该区域整体的发展潜力。将数字基础设施总体差异T的分解成区域内差异Tw和区域间差异泰尔指数Tb,有助于明确中国数字基础设施发展的差异来源。

2.1.3 空间相关性的测算方法

为了对数字基础设施发展水平的空间效应进行系统的考察,基于全局莫兰指数和局部莫兰指数对不同区域数字基础设施发展水平的空间特征进行测度。莫兰指数的取值范围在[-1, 1],指数为正表明,数字基础设施发展水平存在正的空间相关性;指数为负表明,数字基础设施发展水平存在负的空间相关性;其绝对值越大,空间相关性就越大。
本文构建了以下矩阵:首先,根据各省份行政中心的经纬度坐标生成地理距离权重矩阵,然后取距离的倒数( W i g 1)。其次,鉴于不同省份的经济发展水平在空间上可能存在相关性,参考Hammadou等[31]构建经济距离权重矩阵( W i g 2),该矩阵的元素 W i g 2以2013—2022年i省份人均GDP年均值与g省份年人均GDP年均值绝对差值的倒数表示。最后,通过借鉴Parent等[32]和Case等[33]的思路,构造了经济与地理距离结合的嵌套权重矩阵( W i g 3),是 W i g 1 W i g 2二者之积。它能同时考虑经济因素和地理因素的空间影响,以更加综合、客观地考察数字基础设施发展水平的空间关联程度。

2.1.4 收敛性分析方法

本文从存量和增量的研究视角,对数字基础设施发展水平的σ收敛和β收敛性进行分析[34]σ收敛是检验各省份数字基础设施水平偏离平均水平的程度是否随着时间推移而降低的过程,选取变异系数法,计算公式如下:
σ p = i = 1 N p D p i - D ¯ p 2 N p D ¯ p
式中:σp为区域p的变异系数;Np为区域p内省份的个数;Dpi为区域p省份i的数字基础设施发展水平; D ¯ p为区域p的数字基础设施发展水平的平均值。
β收敛源自新古典增长理论中的趋同理论,指随着时间的推进,数字基础设施发展水平较低的地区因为具有较高的增长速度,会追赶数字基础设施发展水平较高的地区,使得区域间的数字基础设施发展水平的差距逐渐变小,最终可能实现数字基础设施发展水平具有相同增长率的收敛状态。条件收敛是指长期内各区域数字基础设施发展水平收敛于各自的稳态水平,并非相同的稳态水平。由于不同区域之间在经济发展、人口规模等资源禀赋方面存在较大差异,所以各个区域的稳态是不一致的,即实现趋同的速度和时间不一样,这可能会导致不平等现象的出现。这一现象在短期内不会消失,各区域的数字基础设施发展水平会依然保持自己的相对地位[35]。所以,需要从路径依赖的角度出发,在充分考虑影响数字基础设施发展的诸多变量的基础上,深入探究其收敛趋势。借鉴Miller等[36]的方法,采用条件β收敛检验其收敛情况,其收敛模型如下:
l n D i , t + 1 D i t = α + β l n D i t + θ X i t + μ i + γ t + ε i t
式中:Di,t+1Diti省在t+1和t年(t=1, 2, …, T-1)的数字基础设施发展水平,其中T为时间序列的长度; l n D i , t + 1 D i ti省数字基础设施发展水平在tt+1时期的年增长率; Xit为控制变量集合; α为常数项;β为收敛系数; θ为控制变量的系数向量;μiγt分别为个体固定效应和时间固定效应;εit为随机扰动项。若β<0且通过显著性检验,说明数字基础设施发展水平存在收敛特征;若β>0且通过显著性检验,说明数字基础设施发展水平存在发散特征。收敛速度v表示为:
v=   - l n 1 + β T
依据地理学第一定律可知:区域之间是相连的,且距离越近,区域间的相关性越大[37]。如果区域内存在较为显著的空间相关性,则不能采用模型(6)进行OLS回归,而应选用空间计量模型,从而更全面地分析在考虑数字基础设施发展的空间效应条件下的条件β收敛。
根据Elhorst等[38]的研究,3种比较常见的静态空间计量模型包括:空间误差模型(Spatial Error Model,SEM),空间自回归模型(Spatial Autoregressive Model,SAR),空间杜宾模型(Spatial Dubin Model,SDM),分别如公式(8)-(10)所示:
l n D i , t + 1 D i t = α + β l n D i t + θ X i t + μ i + γ t + ε i t , ε i t = λ j = 1 n W i g ε j t + β ζ i t
l n D i , t + 1 D i t = α + β l n D i t + ρ j = 1 n W i g l n D i , t + 1 D i t + θ X i t + μ i + γ t + ε i t
l n D i , t + 1 D i t = α + β l n D i t + ρ j = 1 n W i g l n D i , t + 1 D i t + ϕ j = 1 n W i g l n D i t + η j = 1 n W i g X i t + θ X i t + μ i + γ t + ε i t
式中:ρ为空间自回归系数,表示本省份数字基础设施发展水平的变化程度受到相邻省份数字基础设施发展水平变化程度的影响;φ为数字基础设施发展的空间滞后项值,影响数字基础设施发展的系数,表示相邻省份的数字发展水平对本省份的影响;η为控制变量的空间滞后项系数,表示本省份数字基础设施发展水平受相邻省份控制变量的影响;λ为空间误差项系数,表示相邻省份随机扰动项会影响本省份的随机扰动项; ζ i t表示考虑空间依赖性的误差项。

2.2 变量和数据来源

2.2.1 变量选取

本文选取人口规模、城镇化率、经济增长水平、研发比例、产业结构、政府干预、金融发展水平作为数字基础设施发展水平的驱动因素,具体衡量方式如表2所示。
表2 数字基础设施发展水平的影响因素及衡量方式

Table 2 Influencing factors and measurement methods of digital infrastructure development level

符号 变量名称 衡量方式
lnpop 人口规模 年末常住人口/万人
urban 城镇化率 城镇人口与年末常住人口之比
lnpgdp 经济发展水平 实际人均GDP/(元/人)
rd 研发比例 研究与发展经费内部支出与GDP之比
is 产业结构 第三产业增加值与第二产业增加值之比
gov 政府干预 地方财政一般预算支出与GDP之比
lnfina 金融发展水平 年末全部金融机构各项借款和贷款总额与GDP之比
(1)人口规模(lnpop):农村人口迁移到城市,使大量人口聚集在城市,从而需要大量的基础设施以满足人们的生活需求[39]。同理,人口规模越大的区域对数字基础设施的需求也越强。
(2)城镇化率(urban):随着信息化和数字化时代的推进,城镇化率的改变也可能会影响数字基础设施发展水平的发展。
(3)经济发展水平(lnpgdp):经济发展水平对基础设施的需求和供给具有一定影响[40,41]。经济发展水平较高的国家往往展现出较强的基础设施投资倾向。因此,经济发展水平对数字基础设施的发展水平具有决定性影响。
(4)研发比例(rd):数字基础设施的发展旨在推动数字经济,其核心动力源自技术创新[14]。研发作为创新的关键驱动力[42],对数字基础设施的发展具有一定的影响。
(5)产业结构(is):智慧产业等新兴第三产业对数据和信息处理能力有着更高的要求[43],故产业结构调整对数字基础设施发展水平具有一定的影响。
(6)政府干预(gov):政府公共支出能够反映对基础设施投资的意愿。随着政府公共支出的增加,基础设施投资水平相应提高,进而促进数字基础设施的发展[44]。因此,政府干预在推动数字基础设施发展中扮演了关键角色。
(7)金融发展水平(lnfina):基础设施的发展需要大量资金支持[45],金融发展水平对基础设施发展至关重要[46]。金融发展水平能够在一定程度上影响数字基础设施的发展进程。

2.2.2 相关数据说明

本文以2013—2022年中国30个省份(因数据缺失,未包含西藏自治区和港澳台地区)为样本,探讨数字基础设施发展及其相关变量的影响。数字基础设施投资数据来源于《中国固定资产投资统计年鉴》和《中国统计年鉴》,涵盖信息传输、计算机服务和软件业的投资额及其同比增长率。其中的行业包括互联网和相关服务业、软件和信息技术服务业,以及电信、广播电视和卫星传输服务业。折旧率参考文献[47],取值9%。因2002年以前数字相关行业投资较少、年鉴缺乏分省数据,且自2003年起该行业的新增固定资产投资逐渐增加,这意味着数字基础设施建设进入起步阶段,故本文将2003年设为基年。通过运用各年份的固定资产投资价格指数,将名义投资折算为实际投资,从而确保了数据在时间序列上的可比性。研发经费内部支出数据取自《中国科技统计年鉴》,金融机构借贷数据来源于各省统计年鉴,其余指标包括实际GDP、社会经济指标等,来源于《中国统计年鉴》、国家统计局及各省统计年鉴。实际GDP以2003年为基年,缺失值采用线性插值法补充。

3 结果与分析

3.1 时空演变特征分析

本文首先概述了2013—2022年中国数字基础设施发展平均水平的变化趋势。其次,通过选取关键年份进一步探讨了数字基础设施建设发展水平在不同阶段的空间动态特征。
图1可以看出,2013—2022年中国数字基础设施发展平均水平整体呈缓慢上升趋势,由2013年的0.2011上升至2022年的0.2251,但增幅有限。其中,2016—2017年和2021—2022年经历了两次显著下降。从区域层面进行分析,各地区的数字基础设施发展在很大程度上呈现出与区域经济发展水平相似的特征。东部地区数字基础设施发展水平最高,始终高于全国平均值,由2013年的0.3810微弱提升至2022年的0.3882,呈现稳定态势;中部地区在2013—2020年稳步上升,2020—2022年略有回调;西部地区虽与全国平均水平差距较大,但整体水平持续上升;东北地区数字基础设施发展水平在2013—2014年短暂上升后,从2015年起总体呈下降趋势,至2022年降至0.1092,成为4个地区中最低。这主要是由于,2015年后东北地区工业增速放缓,人口、资金和人才大量流失,经济发展断崖式下滑,导致数字基础设施投资严重不足。相比之下,西部地区受资源禀赋限制,与全国平均水平差距明显,但2018年起超过了东北地区,显示出一定发展潜力。这一格局变化反映了区域间经济发展水平对数字基础设施建设的深远影响。
图1 2013—2022年全国及4个区域数字基础设施发展平均水平

Figure 1 Average digital infrastructure development levels in China and its four regions, 2013-2022

本文将整个研究期间等分为3个时间段,能够较为均衡地捕捉到各省份数字基础设施发展水平在不同阶段的动态特征,从而更全面地反映其在研究期间的演变轨迹。因此,将数字基础设施发展水平划分为5个等级:低水平(0.000~0.150)、较低水平(0.151~0.300)、中等水平(0.301~0.450)、较高水平(0.451~0.600)、高水平(0.601~1.000),并选取2013、2016、2019和2022年作为代表性年份,对数字基础设施发展水平的空间演变动态特征进行可视化分析,结果如图2所示。
图2 2013年、2016年、2019年和2022年各省份数字基础设施发展水平

注:基于自然资源部标准地图服务系统的审图号为GS(2020)4619号的标准地图制作,底图无修改。

Figure 2 Digital infrastructure development levels in different provinces in 2013, 2016, 2019, and 2022

总体来看,中国数字基础设施建设水平呈上升趋势,但整体以较低水平为主,处于较高或高水平的省份较少,多年来仅有1~2个省份处于较高或高水平。东部沿海城市数字基础设施建设水平较高,西部和部分东北地区相对较低,反映出区域数字基础设施发展不平衡的现象较为严重。具体分析如下:①2013年,整体水平较低。56.7%的省份处于低水平,主要分布在西部和东北地区;23.3%处于较低水平,位于中部、东部地区;中等水平省份包括江苏、山东、浙江;仅北京为较高水平;上海和广东为高水平。②2016年,水平有所提升。低水平省份占比降至40%;较低水平占比增加至40%;中等水平省份新增福建;浙江、广东位于较高水平;北京从较高水平跃升至高水平,与上海并列。③2019年,水平持续提高。低水平省份降至36.7%;中等水平省份增至4个(山东、福建、江苏、浙江);广东维持较高水平,北京降至较高水平;仅上海保持高水平。④2022年,整体水平与2019年相似。低水平省份回升至40%;较低水平占比为36.7%;中等水平省份仍为山东、福建、江苏、浙江;仅广东为较高水平;北京和上海为高水平。由此表明,数字基础设施高度依赖区域经济发展。

3.2 区域差异特征分析

为探讨数字基础设施发展的区域差异,本文测算了2013—2022年全国及4个地区数字基础设施发展的泰尔指数及其贡献率(表3)。总体上,中国数字基础设施的泰尔指数由2013年的0.2735降至2022年的0.2036,表明总体差异逐渐缩小。这一趋势得益于,“智慧城市”“宽带中国”等政策的实施推动了全国范围内的数字基础设施均衡发展。然而,2022年全国及东部、西部的泰尔指数出现“翘尾”现象,表明这些区域差异可能会有扩大趋势,需要持续关注。
表3 2013—2022年全国及4个地区数字基础设施发展水平的泰尔指数及其贡献率

Table 3 Theil index and contribution rate of digital infrastructure development levels in China and its four regions, 2013-2022

年份 总体
差异
区域间差异及
贡献率
区域内差异及贡献率
全国 东部地区 中部地区 西部地区 东北地区
2013 0.2735 0.1895
(69.30)
0.0840
(30.70)
0.1062
(24.52)
0.0163
(0.79)
0.0695
(4.44)
0.0427
(0.95)
2014 0.2542 0.1678
(66.02)
0.0864
(33.98)
0.1085
(26.18)
0.0153
(0.84)
0.0826
(5.98)
0.0398
(0.99)
2015 0.2545 0.1635
(64.23)
0.0910
(35.77)
0.1183
(28.35)
0.0200
(1.12)
0.0638
(4.79)
0.0688
(1.52)
2016 0.2447 0.1576
(64.43)
0.0870
(35.57)
0.1076
(26.57)
0.0208
(1.25)
0.0799
(6.39)
0.0623
(1.36)
2017 0.2383 0.1539
(64.60)
0.0844
(35.40)
0.0993
(25.00)
0.0213
(1.36)
0.0964
(7.92)
0.0507
(1.12)
2018 0.2239 0.1434
(64.05)
0.0805
(35.95)
0.0959
(25.19)
0.0153
(1.09)
0.0949
(8.53)
0.0508
(1.14)
2019 0.2126 0.1360
(63.96)
0.0766
(36.04)
0.0855
(23.33)
0.0200
(1.55)
0.1013
(9.81)
0.0585
(1.35)
2020 0.2027 0.1280
(63.16)
0.0747
(36.84)
0.0824
(23.26)
0.0171
(1.41)
0.1071
(11.12)
0.0427
(1.05)
2021 0.2003 0.1330
(66.40)
0.0673
(33.60)
0.0801
(23.12)
0.0178
(1.42)
0.0748
(8.10)
0.0421
(0.95)
2022 0.2036 0.1278
(62.78)
0.0758
(37.22)
0.0951
(26.85)
0.0147
(1.14)
0.0788
(8.48)
0.0312
(0.74)

注:括号内数字是贡献率,单位为%。

分解结果显示,自2013年起,区域间差异的贡献率逐步缩小,而区域内差异的贡献率逐渐扩大,即数字基础设施发展水平的总体差异贡献率由区域间差异逐渐转变为区域内差异。这一现象可能与国家“智慧城市”建设政策的率先实施密切相关[48,49]。2013—2015年住房城乡建设部分批公布“智慧城市”试点名单,各省份试点数量及分布不均,促使区域内差异加大。此外,2014—2016年“宽带中国”示范城市的扩展可能进一步扩大了区域内差异。2020—2022年,因新冠疫情局部经济增长放缓,区域内差异呈现出趋于稳定甚至缩小的态势。从区域内差异分解来看,2013—2022年东部地区泰尔指数平均值最高,贡献率达25.24%,其次是西部(7.56%)、中部(1.20%)和东北(1.12%)。东部地区内部差异显著,上海、北京、广东等省市发展水平较高,但海南、河北等省份发展水平较低,导致内部发展不均衡。尽管区域内差异逐渐增加,中国数字基础设施发展的总体差异仍主要由区域间差异主导,反映出资源禀赋和经济发展的区域性差距对数字基础设施发展不均衡的影响较大。

4 进一步分析

4.1 空间相关性分析

为考察数字基础设施发展水平的空间相关性,构建了地理权重矩阵( W i g 1)和同时考虑地理和经济要素下的经济地理矩阵( W i g 3[50],对中国数字基础设施发展水平的空间相关性进行检验。表4展示的是中国数字基础设施发展水平的全局莫兰指数。在 W i g 1 W i g 3权重矩阵下,样本研究年份的全局莫兰指数值均在1%的条件下显著,且值大于0,证明中国数字基础设施发展水平在地理上呈现出显著的正向空间关联性,也存在经济和地理结合层面上的空间关联性。总的来看,在研究期内,中国数字基础设施发展水平的空间相关性呈现上升的趋势。后续重点考虑 W i g 1空间权重矩阵条件下的结果,并将 W i g 3空间权重矩阵条件下的结果作为稳健性检验。
表4 2013—2022年中国数字基础设施发展水平全局莫兰指数

Table 4 Global Moran’s I of digital infrastructure development levels in China, 2013-2022

年份 W i g 1 W i g 3
I Z P I Z P
2013 0.068*** 2.913 0.002 0.324*** 2.846 0.002
2014 0.066*** 2.887 0.002 0.324*** 2.895 0.002
2015 0.069*** 2.974 0.001 0.351*** 3.112 0.001
2016 0.071*** 3.010 0.001 0.353** 3.101 0.001
2017 0.075*** 3.106 0.001 0.358*** 3.117 0.001
2018 0.074*** 3.048 0.001 0.344*** 3.009 0.001
2019 0.088*** 3.459 0.000 0.368*** 3.200 0.001
2020 0.097*** 3.741 0.000 0.372*** 3.242 0.001
2021 0.086*** 3.421 0.000 0.375*** 3.272 0.001
2022 0.071*** 3.043 0.001 0.356** 3.153 0.001
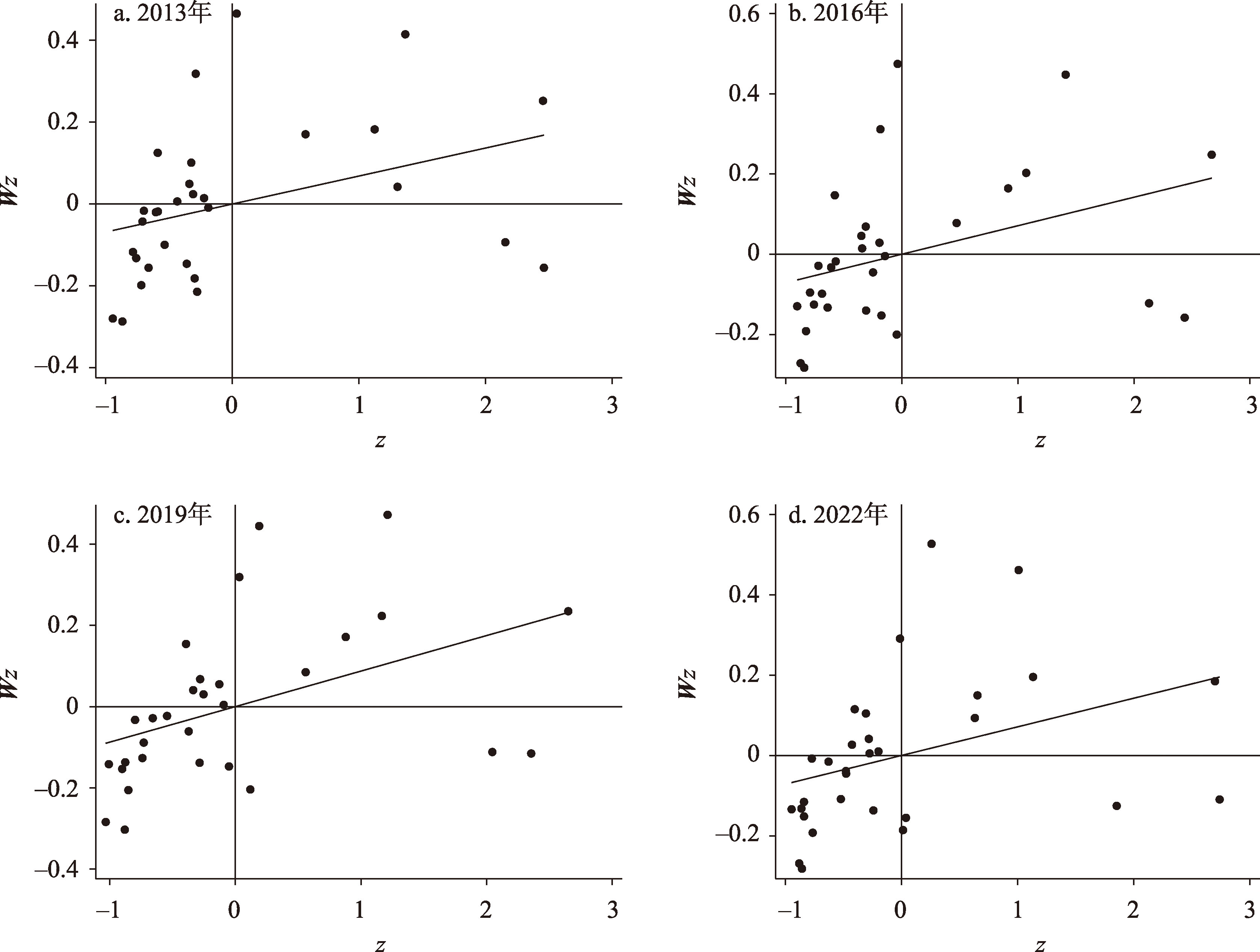
本文绘制了2013、2016、2019、2022年在 W i g 1空间权重下的散点图。在图3中,横坐标表示中国数字基础设施发展水平与其平均水平之差z=Di- D ¯ i,纵坐标表示横坐标 z的空间滞后向量 W的乘积。局部莫兰指数散点图的4个象限按顺序分别代表:高-高型、低-高型、低-低型和高-低型。图3直观地揭示了一个现象:大部分省份的数字基础设施发展水平集中在第一、第三象限。这一分布格局有力地证明了各省份之间存在显著的正向空间相关性,省域之间的数字基础设施发展水平会相互影响。
图3 2013年、2016年、2019年和2022年地理距离权重矩阵下中国数字基础设施发展水平局部莫兰指数散点图

Figure 3 Scatter plots of local Moran’s I of digital infrastructure development levels in China under geographical distance weight matrix in 2013, 2016, 2019, and 2022

基于此,表5重点考察了高-高型和低-低型的数字基础设施发展水平省份。可以看出,在代表性年份中,数字基础设施发展水平高-高型省域集中分布在上海、江苏、浙江、福建、山东等区域,天津、安徽在部分年份位于高-高型区域。此外,数字基础设施发展水平低-低型省域集中分布于山西、内蒙古、辽宁、吉林、黑龙江、广西、贵州、云南、陕西、甘肃、青海、宁夏、新疆等区域,重庆、四川部分年份位于低-低型区域。
表5 2013年、2016年、2019年和2022年地理距离权重矩阵下高-高型、低-低型数字基础设施发展水平省份

Table 5 Provinces with HH-type and LL-type digital infrastructure development levels under geographical distance weight matrix in 2013, 2016, 2019, and 2022

年份 高-高型 低-低型
2013 天津、上海、江苏、浙江、福建、山东 山西、内蒙古、辽宁、吉林、黑龙江、广西、重庆、四川、贵州、云南、陕西、甘肃、青海、宁夏、新疆
2016 上海、江苏、浙江、福建、山东 山西、内蒙古、辽宁、吉林、黑龙江、广西、重庆、四川、贵州、云南、陕西、甘肃、青海、宁夏、新疆
2019 天津、上海、江苏、浙江、安徽、福建、山东 山西、内蒙古、辽宁、吉林、黑龙江、广西、重庆、贵州、云南、陕西、甘肃、青海、宁夏、新疆
2022 天津、上海、江苏、浙江、福建、山东 山西、内蒙古、辽宁、吉林、黑龙江、广西、贵州、云南、陕西、甘肃、青海、宁夏、新疆
从动态演变过程来看,中国数字基础设施发展高-高型省域都处在东部沿海地区。中国数字基础设施发展低-低型省域大多集中在东北、西部及部分中部地区。

4.2 σ收敛检验

表6展示了2013—2022年中国及四大区域数字基础设施发展的σ收敛检验结果。全国范围内,σ收敛系数总体呈下降趋势,降幅达14.39%,表明数字基础设施发展水平偏离整体平均水平的程度逐步减小,体现出显著的σ收敛态势。但在2014—2015年和2020—2022年,系数小幅上升。分区域来看,东北地区的σ收敛系数降幅最大(13.26%),接近全国水平。其下降趋势主要源于区域内产业结构的相似性,该区域以重工业为主,这使各地区能够互相借鉴,进而促进协同发展。中部地区σ收敛系数下降幅度为5.32%,虽在部分年份(如2014—2017年、2018—2019年、2020—2021年)出现小幅回升,但总体呈收敛态势。东部地区σ收敛系数变化经历“波动上升—稳定下降—反弹上升”的过程,总降幅约为2.49%,显示其收敛性较弱。相较之下,西部地区的σ收敛系数呈上升趋势,增幅达8.30%,表明偏离整体平均水平的程度加大,不存在σ收敛。虽然部分年份(2014—2015年、2017—2018年、2020—2021年)σ收敛系数出现短暂下降,但西部数字基础设施发展水平整体滞后,许多地区仍处于低水平,与全国平均水平的差距逐步扩大。总体而言,全国及东、中、东北地区均表现出σ收敛趋势,而西部地区则未表现出σ收敛性,这与西部地区的资源禀赋不足有关。西部地区在自然地理、经济基础、资本积累等方面的劣势,限制了其数字基础设施的发展,发展动能相对不足,因此在样本期内未能实现与其他区域同向的收敛趋势。
表6 2013—2022年中国及4个地区数字基础设施发展水平的σ收敛检验结果

Table 6 Results of σ-convergence test for digital infrastructure development levels in China and its four regions, 2013-2022

年份 全国 东部地区 中部地区 西部地区 东北地区
2013 0.8125 0.4453 0.1785 0.3761 0.2949
2014 0.7877 0.4618 0.1731 0.4103 0.2869
2015 0.7935 0.4814 0.1985 0.3676 0.3799
2016 0.7673 0.4552 0.2002 0.4120 0.3635
2017 0.7479 0.4343 0.2016 0.4506 0.3277
2018 0.7217 0.4271 0.1739 0.4492 0.3274
2019 0.6975 0.4076 0.1945 0.4650 0.3522
2020 0.6786 0.4014 0.1800 0.4743 0.3000
2021 0.6813 0.3968 0.1862 0.3983 0.2979
2022 0.6956 0.4342 0.1690 0.4073 0.2558
变化幅度/% -14.39 -2.49 -5.32 8.30 -13.26

4.3 条件β收敛检验

前文已经证实数字基础设施发展水平存在显著正向的空间相关性。因此,本部分研究基于空间面板模型,对中国数字基础设施发展水平的条件β收敛模型进行分析。在进行条件β收敛检验之前,需确定最适合的回归模型。由于本文的研究样本较少,因此采用LM检验、Hausman检验和LR检验确定全国及各地区的适用模型。
表7的检验结果可知,全国、中部地区、西部地区、东北地区的样本均通过Hausman检验、LR检验和Wald检验的显著性检验,而东部地区未通过LR检验。所以,本文在全国、中部地区、西部地区和东北地区使用双向固定SDM模型,在东部地区使用双向固定效应模型。首先,从全国整体来看,在1%的显著性水平下,条件β收敛系数小于0。研究发现,在控制了人口规模、城镇化率、经济发展水平、研发比例、产业结构、政府干预、金融发展水平等影响因素及个体固定效应和时间固定效应后,数字基础设施发展水平存在条件β收敛,且收敛速度为0.090。由此证明,中国数字基础设施发展水平的差距逐渐减少,数字基础设施发展水平低的省份比数字基础设施发展水平高的省份具有更高的发展速度,即逐步实现数字基础设施发展低水平的省份向高水平的省份“追赶”,逐步实现趋同,这与新古典增长理论中的趋同理论一致。空间自回归系数ρ在1%的水平下显著性为负,表明各省份的数字基础设施发展水平的变化程度存在负向的空间溢出效应,即周围省域数字基础设施发展水平的增长率会显著抑制本省域数字基础设施发展水平的增长率。空间滞后项系数φ值为负,但不显著,证明周围省域的数字基础设施发展水平的提升会抑制本省域数字基础设施发展的增长率,会阻碍本省域数字基础设施的发展实现收敛。发生此情况的可能原因是当周围省域的数字基础设施发展水平较高时,本省域的科技资源、基础设施投资等要素会流出,导致本省域的数字基础设施发展水平受限,不利于其收敛。
表7 地理距离权重矩阵下中国及4个地区数字基础设施发展水平条件β收敛检验结果

Table 7 Results of conditional β-convergence test for digital infrastructure development levels in China and its four regions under geographical distance weight matrix

模型 全国 东部地区 中部地区 西部地区 东北地区
SDM OLS SDM SDM SDM
β -0.592***
(-11.82)
-0.612***
(-7.91)
-1.135***
(-7.13)
-0.864***
(-7.37)
-1.439***
(-10.30)
lnpop -0.195
(-0.65)
-1.556***
(-4.21)
2.036
(0.73)
5.843***
(3.02)
-97.117***
(-24.25)
urban 2.127***
(3.86)
1.393***
(3.57)
3.377
(0.58)
0.172
(0.04)
111.411***
(92.37)
lnpgdp 0.256
(1.01)
-0.805*
(-2.22)
0.424
(0.68)
0.720
(0.72)
-44.516***
(-31.30)
rd -6.586*
(-1.78)
-0.235
(-0.15)
4.096
(0.22)
-6.639
(-0.41)
-213.407***
(-26.96)
is -0.076
(-1.63)
-0.046
(-1.08)
-0.681***
(-2.81)
0.260
(0.97)
-6.878***
(-31.27)
gov 0.123
(0.21)
-1.015
(-1.65)
-3.906***
(-2.85)
6.074**
(2.55)
21.493***
(19.29)
lnfina -0.230*
(-1.84)
-0.046
(-0.35)
0.579
(0.80)
-0.267
(-0.60)
13.358***
(25.52)
ρ -1.071***
(-3.63)
-1.483***
(-5.52)
-0.469
(-1.43)
0.289**
(2.00)
φ -0.439
(-1.01)
-1.475**
(-2.13)
-0.802
(-0.86)
0.838**
(1.97)
W×lnpop -3.261
(-1.14)
14.119
(1.50)
43.546***
(3.45)
-142.916***
(-21.67)
W×urban 8.711***
(2.79)
-5.939
(-0.32)
8.914
(0.40)
204.969***
(136.65)
W×lnpgdp -3.217
(-1.62)
-2.004
(-0.85)
4.525
(0.66)
-68.816***
(-38.09)
W×rd -8.714
(-0.43)
-21.589
(-0.30)
190.790*
(1.79)
-392.4441***
(-47.92)
W×is -0.763**
(-2.19)
-2.150**
(-2.34)
1.363
(1.05)
-12.439***
(-22.68)
W×gov -0.367
(-0.10)
-4.210
(-0.74)
10.359
(0.75)
42.986***
(18.69)
W×lnfina -1.678*
(-1.85)
3.063
(1.19)
-1.002
(-0.39)
21.583***
(25.45)
LR test-Lag 31.02*** 12.41 16.67** 20.52*** 117.2***
LR test-Error 25.96*** 10.28 18.24** 18.95** 113.68***
Wald test-Lag 60.62*** 16.37** 2651.94*** 99.82*** 61.08***
Wald test-Error 60.61*** 26.88*** 539.25*** 159.30*** 21.84***
Hausman检验 81.76*** 36.96*** 17.82*** 30.52*** 8.77**
时间固定效应
个体固定效应
Log Likelihood 336.3903 130.2692 107.4954 121.0939
R2 0.0737 0.6357 0.1764 0.0017 0.0638
样本数 270 90 54 99 27

注:*、**、***分别表示在10%、5%和1%的水平下显著。括号内表示统计量z或者t值,下同。

在影响因素方面,在1%显著性水平下,城镇化率的提升显著促进了数字基础设施发展水平的增长率提升。城市人口聚集带来的信息和数字技术需求增加,推动了数字基础设施的升级。此外,周边省域的城镇化率通过溢出效应显著带动本省域的数字基础设施发展水平增长率的提高[51],这表明区域间城镇化对数字基础设施发展水平的正向影响占主导地位。在10%显著性水平下,研发比例的提升对数字基础设施发展水平的增长率有负向影响。其可能原因在于,研发活动通常周期较长[52],短期内难以带来显著效益,且技术成果转化为实际应用存在滞后性[53],使新技术难以迅速应用于数字基础设施发展和升级。同样在10%显著性水平下,金融发展水平的提升降低了数字基础设施发展水平的增长率。这可能是由于资源错配导致资金更多流向高风险、高回报的金融市场[54],而非数字基础设施建设项目。此外,金融发展过度依赖虚拟经济[55],这在一定程度上挤压了实体经济的发展空间。由于缺乏坚实的产业支撑,数字基础设施的发展也受到了限制,进而导致其增长动力进一步被削弱。在10%显著性水平下,周边省域金融发展对本省域数字基础设施发展水平的增长率具有负向作用。这可能是由于金融结构与产业结构密切相关[56]。周边省域强大的产业结构通过推动金融发展、增强投融资能力,有力促进了当地数字基础设施发展;但同时挤占了本省域金融资源,导致本省域数字基础设施增长乏力,后劲不足。
分地区研究结果显示,东部、中部、西部和东北地区的条件β收敛系数均显著为负,表明数字基础设施发展水平在控制多种影响因素后具有条件β收敛特性。根据公式(7)进行收敛速度测算得到,中部地区最快(0.200),其次为西部地区(0.199),东部地区较慢(0.095),东北地区最慢(0.082)。原因为中部和西部地区多位于低-低型或高-高型区域,且泰尔指数表明区域内差异贡献率较小,即区域内数字基础设施差距较小,因此收敛速度较快。东部地区虽部分区域为高-高型,但区域内差异贡献率较大,数字基础设施发展水平差距较大,导致收敛速度较慢。东北地区虽整体处于低-低型区域且区域内差异贡献率较低,但其数字基础设施发展水平较低,发展潜力较大,短期内收敛速度较慢。为保证结果的稳健性,本文还分析了经济与地理空间权重矩阵下中国数字基础设施发展水平的条件β收敛情况 。结果发现,全国、东部地区、中部地区、西部地区、东北地区的数字基础设施发展水平均存在条件β收敛,证明结果稳健。

5 结论与政策启示

5.1 结论

本文基于2013—2022年中国省级面板数据,运用熵值法构建了数字基础设施发展水平的指标评价体系,并借助泰尔指数、收敛模型、双向固定效应模型及空间计量等方法,深入剖析了中国数字基础设施发展水平的时空演变、区域差异及空间收敛特性。主要研究结论为:
(1)从时空演变上来看,中国数字基础设施发展平均水平呈上升趋势。分区域来看,东部地区数字基础设施发展水平一直最高,超过中国平均水平。而数字基础设施发展平均水平较低的地区大多分布在西部和东北地区。中国数字基础设施发展水平从以低水平为主演变为以较低水平为主,呈现出东部沿海城市较高、西部部分地区与东北地区较低的空间格局,即存在较为明显的两极分化。
(2)从区域差异方面来看,中国数字基础设施发展水平的总体差异逐渐缩小,总体差异贡献率从区域间差异主导转向区域内差异为主导。具体而言,区域内差异的平均贡献率呈现“东部>西部>中部>东北”的梯度分布,但区域间差异仍占主导地位,这与区域资源禀赋和经济发展不均衡密切相关。
(3)在空间相关性的分析中,中国数字基础设施发展水平呈现出显著的正向空间关联性,这表明相邻区域之间的数字基础设施发展水平存在相互影响的特征。局部莫兰指数的结果显示,数字基础设施发展高-高型省域均集中在东部沿海地区。数字基础设施发展低-低型省域大多集中在中部、东北及部分西部地区,这凸显了区域数字基础设施发展的不平衡。
(4)空间收敛性分析表明,整体σ收敛系数下降,意味着中国数字基础设施发展水平逐渐出现趋同。不同区域的σ收敛系数下降幅度依次为“东北>中部>东部”,而西部地区不存在σ收敛。此外,中国数字基础设施发展水平存在空间条件β收敛,低发展水平地区的增长速度高于高发展水平地区,支持了新古典增长的趋同理论的有效性。同时,城镇化率、研发比例和金融发展水平对数字基础设施的发展具有显著影响。区域内,所有地区均呈现空间条件β收敛,实现空间趋同速度依次为“中部>西部>东部>东北”。

5.2 政策启示

根据以上研究结论,本文得出以下政策启示:
(1)鉴于中国数字基础设施发展水平整体提升幅度较低且高水平省份较少,数字基础设施发展应根据区域产业的基础和特点制定针对性方案,解决核心技术缺失、应用场景薄弱和投融资不足等问题。国家应加大核心技术研发投入,整合政府、高校、研究机构和企业力量攻克关键技术。同时,推动与企业需求相结合的新业态发展,促进数字基础设施升级。通过优化项目盈利能力、降低社会资本负债率,吸引更多社会资本参与建设。
(2)针对区域内差异较大的问题,数字基础设施发展高水平地区应发挥“辐射效应”,缩小区域差距,带动省内其他区域共同发展。政府应引导投资和技术向中部、西部和东北等数字基础设施发展水平较低的地区倾斜,并结合各地资源禀赋和产业结构,优化数字基础设施布局。例如,可因地制宜推进电商数据流通平台、智慧农业数据平台等区域特色项目,促进传统产业与数字基础设施融合,提升整体协同发展能力。
(3)利用数字基础设施的空间溢出效应,国家应制定跨区域联合发展政策。加强宏观调控,挖掘不同地区的数字基础设施发展潜力,以优势带动劣势,整体提升数字基础设施发展水平。推动东部与西部、东北地区在技术、人才和资源上的交流共享,促进技术转移和科技成果转化,同时通过东部资金支持推动全国协同发展。
(4)鉴于σ收敛和条件β收敛的区域特性,需因地制宜制定分区政策,促进区域趋同。例如,东北地区收敛速度最慢,应加大对5G基站、大数据中心等数字基础设施的政策倾斜,吸引投资,优化发展布局。结合区域城镇化水平、金融发展和政府干预等因素,推进政府与企业合作,科学制定数字基础设施发展方案,提升东北地区收敛速度,缩小区域发展差距。
[1]
Zhou B, Zeng X Y, Jiang L, et al. High-quality economic growth under the influence of technological innovation preference in China: A numerical simulation from the government financial perspective[J]. Structural Change and Economic Dynamics, 2020, 54: 163-172.

[2]
Gu W T, Wang J Y, Hua X Y, et al. Entrepreneurship and high-quality economic development: Based on the triple bottom line of sustainable development[J]. International Entrepreneurship and Management Journal, 2021, 17(1): 1-27.

[3]
董旭, 许高阳, 薛桂芝. 数字基础设施建设促进了经济增长吗?来自中国县域层面的经验证据[J]. 南开经济研究, 2024, (11): 66-85.

[Dong X, Xu G Y, Xue G Z. Does digital infrastructure construction promote economic growth? Empirical evidence from China’s counties[J]. Nankai Economic Studies, 2024, (11): 66-85.]

[4]
黄群慧, 盛方富. 新质生产力系统: 要素特质、结构承载与功能取向[J]. 改革, 2024, (2): 15-24.

[Huang Q H, Sheng F F. New productive forces system: Factor characteristics, structural bearing, and functional orientation[J]. Reform, 2024, (2): 15-24.]

[5]
邓荣荣, 吴云峰. 有福同享: 城市数字基础设施建设与经济包容性增长[J]. 上海财经大学学报, 2023, 25(1): 3-18.

[Deng R R, Wu Y F. Sharing the benefits: Digital infrastructure construction in cities and inclusive growth of the economy[J]. Journal of Shanghai University of Finance and Economics, 2023, 25(1): 3-18.]

[6]
方福前, 田鸽, 张勋. 数字基础设施与代际收入向上流动性: 基于“宽带中国”战略的准自然实验[J]. 经济研究, 2023, 58(5): 79-97.

[Fang F Q, Tian G, Zhang X. Digital infrastructure and the intergenerational income upward mobility: The quasi-natural experiment based on “Broadband China”[J]. Economic Research Journal, 2023, 58(5): 79-97.]

[7]
Liang D P, Liu J J, Liu M T, et al. Does information infrastructure and technological infrastructure reduce carbon dioxide emissions in the context of sustainable development? Examining spatial spillover effect[J]. Sustainable Development, 2024, 32(3): 1599-1615.

[8]
叶永卫, 陶云清, 李鑫. 数字基础设施建设与企业投融资期限错配改善[J]. 经济评论, 2023, (4): 123-137.

[Ye Y W, Tao Y Q, Li X. Digital infrastructure construction and firms’ asset-debt maturity mismatch improvement[J]. Economic Review, 2023, (4): 123-137.]

[9]
孙伟增, 郭冬梅. 信息基础设施建设对企业劳动力需求的影响: 需求规模、结构变化及影响路径[J]. 中国工业经济, 2021, (11) : 78-96.

[Sun W Z, Guo D M. The impact of information infrastructure on enterprise labor demand: Change of labor demand scale and structure, and its influence channel[J]. China Industrial Economics, 2021, (11): 78-96.]

[10]
任晓松, 孙莎. 数字经济对中国城市工业碳生产率的赋能效应[J]. 资源科学, 2022, 44(12): 2399-2414.

DOI

[Ren X S, Sun S. The enabling effect of digital economy on urban industrial carbon productivity in China[J]. Resources Science, 2022, 44(12): 2399-2414.]

DOI

[11]
韩燕, 潘成, 金凤君, 等. 黄河流域数字经济产业空间格局演化及影响因素[J]. 资源科学, 2024, 46(3): 488-504.

DOI

[Han Y, Pan C, Jin F J, et al. Evolution and influencing factors of the spatial pattern of digital industry in the Yellow River Basin[J]. Resources Science, 2024, 46(3): 488-504.]

DOI

[12]
刘传明, 马青山. 网络基础设施建设对全要素生产率增长的影响研究: 基于“宽带中国”试点政策的准自然实验[J]. 中国人口科学, 2020, (3): 75-88, 127-128.

[Liu C M, Ma Q S. Research on the influence of network infrastructure construction on total factor productivity growth: A quasi-natural experiment of “Broadband China” pilot policy[J]. Chinese Journal of Population Science, 2020, (3): 75-88, 127-128.]

[13]
尚文思. 新基建对劳动生产率的影响研究: 基于生产性服务业的视角[J]. 南开经济研究, 2020, (6): 181-200.

[Shang W S. Effects of new infrastructure investment on labor productivity: Based on producer services perspective[J]. Nankai Economic Studies, 2020, (6): 181-200.]

[14]
薛飞, 周民良, 刘家旗. 数字基础设施降低碳排放的效应研究: 基于“宽带中国”战略的准自然实验[J]. 南方经济, 2022, (10): 19-36.

DOI

[Xue F, Zhou M L, Liu J Q. The effect of digital infrastructure on reducing carbon emissions: Quasi natural experiment based on “Broadband China” pilot[J]. South China Journal of Economics, 2022, (10): 19-36.]

DOI

[15]
郭丰, 任毅, 柴泽阳. “双碳”目标下数字基础设施建设与城市碳排放: 基于“宽带中国”试点政策的准自然实验[J]. 中国经济问题, 2023, (5): 164-180.

[Guo F, Ren Y, Chai Z Y. Digital infrastructure construction and urban carbon emissions under the “Carbon Peaking and Carbon Neutrality Goal”: A quasi-natural experiment of “Broadband China” pilot policy[J]. China Economic Studies, 2023, (5): 164-180.]

[16]
焦豪, 崔瑜, 张亚敏. 数字基础设施建设与城市高技能创业人才吸引[J]. 经济研究, 2023, 58(12): 150-166.

[Jiao H, Cui Y, Zhang Y M. Digital infrastructure construction and urban attraction for high-skilled migrant entrepreneurial talents[J]. Economic Research Journal, 2023, 58(12): 150-166.]

[17]
杨冕, 刘萧萧, 李振冉. 数字基础设施建设能促进劳动力就业吗? 来自“宽带中国”试点政策的证据[J]. 系统工程理论与实践, 2024, 44(1): 190-207.

DOI

[Yang M, Liu X X, Li Z R. Can the construction of digital infrastructure promote labor force employment? Evidence from the pilot policy of “Broadband China”[J]. Systems Engineering-Theory & Practice, 2024, 44(1): 190-207.]

[18]
马青山, 何凌云, 袁恩宇. 新兴基础设施建设与城市产业结构升级: 基于“宽带中国”试点的准自然实验[J]. 财经科学, 2021, (4): 76-90.

[Ma Q S, He L Y, Yuan E Y. Network infrastructure construction and city industrial structure upgrading: Quasi natural experiment based on the “Broadband China” pilot[J]. Finance & Economics, 2021, (4): 76-90.]

[19]
沈坤荣, 林剑威, 傅元海. 网络基础设施建设、信息可得性与企业创新边界[J]. 中国工业经济, 2023, (1): 57-75.

[Shen K R, Lin J W, Fu Y H. Network infrastructure construction, information accessibility, and the innovation boundaries of enterprises[J]. China Industrial Economics, 2023, (1): 57-75.]

[20]
张杰, 白铠瑞, 毕钰. 互联网基础设施、创新驱动与中国区域不平衡: 从宏观到微观的证据链[J]. 数量经济技术经济研究, 2023, 40(1) 46-65.

[Zhang J, Bai K R, Bi Y. Internet infrastructure, innovation drivers, and regional imbalance in China: Evidence from macro and micro levels[J]. Journal of Quantitative & Technological Economics, 2023, 40(1): 46-65.]

[21]
田杰棠, 闫德利. 新基建和产业互联网: 疫情后数字经济加速的“路与车”[J]. 山东大学学报(哲学社会科学版), 2020, (3): 1-8.

[Tian J T, Yan D L. New infrastructure and industrial internet: The “road and car” of the digital economy accelerating after the pandemic[J]. Journal of Shandong University (Philosophy and Social Sciences), 2020, (3): 1-8.]

[22]
刘艳红, 黄雪涛, 石博涵. 中国“新基建”: 概念、现状与问题[J]. 北京工业大学学报(社会科学版), 2020, 20(6): 1-12.

[Liu Y H, Huang X T, Shi B H. China’s new infrastructure construction: Concepts, current situations, and problems[J]. Journal of Beijing University of Technology (Social Sciences Edition), 2020, 20(6): 1-12.]

[23]
张佩, 王姣娥, 肖凡. 中国新基建发展的时空演变及驱动因素[J]. 地理科学进展, 2023, 42(2): 209-220.

DOI

[Zhang P, Wang J E, Xiao F. Spatial evolution and determinants of new infrastructure development in China[J]. Progress in Geography, 2023, 42(2): 209-220.]

DOI

[24]
宋敏, 刘欣雨. 中国新基建与经济韧性耦合协调度的时空演化及驱动因素[J]. 经济地理, 2023, 43(10): 13-22.

DOI

[Song M, Liu X Y. Spatial-temporal evolution and driving factors of the coupling coordination degree between new infrastructure construction and economic resilience in China[J]. Economic Geography, 2023, 43(10): 13-22.]

DOI

[25]
张立新, 张家瑞. 中国新基建与区域韧性耦合协调发展: 时空差异与演变趋势[J]. 干旱区地理, 2024, 47(12): 2164-2176.

DOI

[Zhang L X, Zhang J R. Coupling and coordinated development of new infrastructure and regional resilience in China: Spatial-temporal differences and evolution trends[J]. Arid Land Geography, 2024, 47(12): 2164-2176.]

[26]
刘佳, 安珂珂, 赵青华. 数字基础设施建设、要素市场化配置与旅游经济包容性增长[J/OL]. 旅游科学, (2024-09-18) [2024-10-15]. https://doi.org/10.16323/j.cnki.lykx.20240914.001.

[Liu J, An K K, Zhao Q H. Digital infrastructure construction, market-oriented allocation of factors, and inclusive growth of tourism economy[J/OL]. Tourism Science, (2024-09-18) [2024-10-15]. https://doi.org/10.16323/j.cnki.lykx.20240914.001.]

[27]
张恒硕, 李绍萍. 数字基础设施与能源产业高级化: 效应与机制[J]. 产业经济研究, 2022, (5): 15-27, 71.

[Zhang H S, Li S P. Digital infrastructure and energy industry advancement: Effects and mechanisms[J]. Industrial Economics Research, 2022, (5): 15-27, 71.]

[28]
李晓华. 面向智慧社会的“新基建”及其政策取向[J]. 改革, 2020, (5): 34-48.

[Li X H. New infrastructure construction and policy orientation for a smart society[J]. Reform, 2020, (5): 34-48.]

[29]
孙黎, 许唯聪. 数字经济对地区全球价值链嵌入的影响: 基于空间溢出效应视角的分析[J]. 经济管理, 2021, 43(11): 16-34.

[Sun L, Xu W C. The impact of economy trade on regional GVC embeddedness: A analysis from the perspective of spatial spillover[J]. Business and Management Journal, 2021, 43(11): 16-34.]

[30]
祝志勇, 刘畅畅. 数字基础设施对城乡收入差距的影响及其门槛效应[J]. 华南农业大学学报(社会科学版), 2022, 21(5): 126-140.

[Zhu Z Y, Liu C C. Impact of digital infrastructure on the urban-rural income gap and its threshold effect[J]. Journal of South China Agricultural University (Social Science Edition), 2022, 21(5): 126-140.]

[31]
Hammadou H, Paty S, Savona M. Strategic interactions in public R&D across European countries: A spatial econometric analysis[J]. Research Policy, 2014, 43(7): 1217-1226.

[32]
Parent O, LeSage J P. Using the variance structure of the conditional autoregressive spatial specification to model knowledge spillovers[J]. Journal of Applied Econometrics, 2008, 23(2): 235-256.

[33]
Case A C, Rosen H S, Hines Jr J R. Budget spillovers and fiscal policy interdependence: Evidence from the states[J]. Journal of Public Economics, 1993, 52(3): 285-307.

[34]
郭鹏飞, 胡歆韵, 李敬. 中国网络基础设施资本回报率的区域差异与空间收敛性研究[J]. 数量经济技术经济研究, 2022, 39(1): 73-93.

[Guo P F, Hu X Y, Li J. Research on regional differences and spatial convergence of return on capital of network infrastructure in China[J]. Journal of Quantitative & Technological Economics, 2022, 39(1): 73-93.]

[35]
Alfaro L, Kalemli-Ozcan S, Volosovych V. Why doesn’ t capital flow from rich to poor countries? An empirical investigation[J]. The Review of Economics and Statistics, 2008, 90(2): 347-368.

[36]
Miller S M, Upadhyay M P. Total factor productivity and the convergence hypothesis[J]. Journal of Macroeconomics, 2002, 24(2): 267-286.

[37]
Tobler W R. A computer movie simulating urban growth in the Detroit region[J]. Economic Geography, 1970, 46(1): 234-240.

[38]
Elhorst J P, Lacombe D J, Piras G. On model specification and parameter space definitions in higher order spatial econometric models[J]. Regional Science and Urban Economics, 2012, 42(1-2): 211-220.

[39]
Hall B H, Lotti F, Mairesse J. Evidence on the impact of R&D and ICT investments on innovation and productivity in Italian firms[J]. Economics of Innovation and New Technology, 2013, 22(3): 300-328.

[40]
Acheampong A O, Dzator J, Dzator M, et al. Unveiling the effect of transport infrastructure and technological innovation on economic growth, energy consumption and CO2 emissions[J]. Technological Forecasting and Social Change, 2022, DOI: 10.1016/j.techfore.2022.121843.

[41]
张军, 高远, 傅勇, 等. 中国为什么拥有了良好的基础设施?[J]. 经济研究, 2007, (3): 4-19.

[Zhang J, Gao Y, Fu Y, et al. Why does China enjoy so much better physical infrastructure?[J]. Economic Research Journal, 2007, (3): 4-19.]

[42]
徐维祥, 陈展驰, 周建平, 等. 中国新型基础设施的格局及影响因素分析: 以新能源汽车充电桩为例[J]. 经济问题探索, 2023, (7): 43-53.

[Xu W X, Chen Z C, Zhou J P, et al. The pattern and influencing factors of new infrastructure in China: Take the charging pile of new energy vehicles as an example[J]. Inquiry Into Economic Issues, 2023, (7): 43-53.]

[43]
白洋, 邱子芮. 智慧城市试点对邻地环境的空间溢出效应[J]. 资源科学, 2024, 46(8): 1651-1667.

DOI

[Bai Y, Qiu Z R. Spatial spillover effects of smart city pilot programs on neighboring environments[J]. Resources Science, 2024, 46(8): 1651-1667.]

[44]
Dinlersoz E M, Fu Z. Infrastructure investment and growth in China: A quantitative assessment[J]. Journal of Development Economics, 2022, DOI: 10.1016/j.jdeveco.2022.102916.

[45]
张佩, 王姣娥, 孙勇, 等. 中国省域创新基础设施与创新产出水平的耦合协调发展及其影响因素[J]. 经济地理, 2022, 42(9): 11-21.

DOI

[Zhang P, Wang J E, Sun Y, et al. Coupling coordinative degree of innovation infrastructure and innovation output at provincial level in China and its influencing factors[J]. Economic Geography, 2022, 42(9): 11-21.]

DOI

[46]
Ahmadian-Yazdi F, Mesgarani M, Roudari S. Natural resource rents and social capital interaction: New evidence on the role of financial development[J]. Journal of Environmental Assessment Policy and Management, 2022, DOI: 10.1142/S1464333222500211.

[47]
金戈. 中国基础设施与非基础设施资本存量及其产出弹性估算[J]. 经济研究, 2016, 51(5): 41-56.

[Jin G. Infrastructure and non-infrastructure capital stocks in China and their productivity: A new estimate[J]. Economic Research Journal, 2016, 51(5): 41-56.]

[48]
毕青苗, 徐现祥, 杨海生. 商事制度改革与就业增长[J]. 数量经济技术经济研究, 2024, 41(1): 130-150.

[Bi Q M, Xu X X, Yang H S. Commercial system reform and employment growth[J]. The Journal of Quantitative & Technical Economics, 2024, 41(1): 130-150.]

[49]
袁航, 朱承亮. 智慧城市是否加速了城市创新?[J]. 中国软科学, 2020, (12): 75-83.

[Yuan H, Zhu C L. Do smart cities accelerate urban innovation?[J]. China Soft Science, 2020, (12): 75-83.]

[50]
Zhou K L, Yang J N, Yang T, et al. Spatial and temporal evolution characteristics and spillover effects of China’s regional carbon emissions[J]. Journal of Environmental Management, 2023, DOI: 10.1016/j.jenvman.2022.116423.

[51]
毕秀晶, 宁越敏. 长三角大都市区空间溢出与城市群集聚扩散的空间计量分析[J]. 经济地理, 2013, 33(1): 46-53.

[Bi X J, Ning Y M. Empirical research on spatial spillover of metropolitan and the spatial agglomeration and dispersion in Yangtze River Delta urban agglomeration[J]. Economic Geography, 2013, 33(1): 46-53.]

[52]
洪联英, 湛惠雯, 唐佳敏. 融资投向差异与企业技术创新效应[J]. 财经研究, 2024, 50(11): 65-79.

[Hong L Y, Zhan H W, Tang J M. The difference in financing investment and the effect of technological innovation[J]. Journal of Finance and Economics, 2024, 50(11): 65-79.]

[53]
梁冉, 文学国, 朱四伟, 等. 知识产权保护促进了企业创新质量的提升吗? 来自国家知识产权示范城市的准自然实验[J]. 科学学与科学技术管理, 2024, 45(3): 3-20.

[Liang R, Wen X G, Zhu S W, et al. Does intellectual property protection promote the improvement of the quality of enterprise innovation? Quasi-natural experiments from national intellectual property demonstration cities[J]. Science of Science and Management of S.& T., 2024, 45(3): 3-20.]

[54]
王义中, 郑博文, 邬介然. 不确定性冲击、信贷资源错配与货币财政政策效果[J]. 世界经济, 2023, 46(2): 3-30.

[Wang Y Z, Zheng B W, Wu J R. Uncertainty shocks, credit resource misallocation and monetary and fiscal policy effectiveness[J]. The Journal of World Economy, 2023, 46(2): 3-30.]

[55]
陈享光, 黄泽清. 金融化、虚拟经济与实体经济的发展: 兼论“脱实向虚”问题[J]. 中国人民大学学报, 2020, 34(5): 53-65.

[Chen X G, Huang Z Q. Financialization, fictitious economy and development of the real economy: Collaterally study on the problem of “being deviant from the real economy”[J]. Journal of Renmin University of China, 2020, 34(5): 53-65.]

[56]
谢漾, 洪正. 金融集聚的地理结构及演进规律: 虹吸还是辐射: 基于城市群的研究视角[J]. 山西财经大学学报, 2022, 44(11): 28-38.

[Xie Y, Hong Z. Geographical structure and evolution law of financial agglomeration: Siphon or radiation: From the perspective of urban agglomeration[J]. Journal of Shanxi University of Finance and Economics, 2022, 44(11): 28-38.]

文章导航

/