专栏:黄河流域高质量发展的资源禀赋与统筹利用

1976年以来黄河三角洲海岸冲淤演变与入海水沙过程的关系

  • 李贺 1 ,
  • 黄翀 , 1 ,
  • 张晨晨 1, 2 ,
  • 刘庆生 1 ,
  • 刘高焕 1
展开
  • 1.中国科学院地理科学与资源研究所,资源与环境信息系统国家重点实验室,北京 100101
  • 2.中国科学院大学,北京 100049
黄翀,男,安徽六安人,博士,副研究员,研究方向为海岸带遥感。E-mail:

李贺,男,江苏徐州人,博士,助理研究员,研究方向为海岸带遥感。E-mail: lih@lreis.ac.cn

收稿日期: 2019-12-24

  要求修回日期: 2020-02-29

  网络出版日期: 2020-05-25

基金资助

中国科学院战略性先导科技专项(XDA23050101)

国家自然科学基金重大项目(41890854)

版权

《资源科学》编辑部

Coastal erosion and sediment dynamics of the Yellow River Delta and their responses to the runoff-sediment flux since 1976

  • LI He 1 ,
  • HUANG Chong , 1 ,
  • ZHANG Chenchen 1, 2 ,
  • LIU Qingsheng 1 ,
  • LIU Gaohuan 1
Expand
  • 1.State Key Laboratory of Resources and Environmental Information System, Institute of Geographic Sciences and Natural Resources Research, CAS, Beijing 100101, China
  • 2.University of Chinese Academy of Sciences, Beijing 100049, China

Received date: 2019-12-24

  Request revised date: 2020-02-29

  Online published: 2020-05-25

摘要

受海陆交互作用影响,黄河三角洲海岸经常处于动态变化之中。及时掌握黄河三角洲海岸冲淤演变,不仅可以深化对黄河三角洲演化规律的认识,同时也为黄河下游水沙调控以及河口大保护战略实施提供科技支撑。本文选取1976—2018年的Landsat长时间序列卫星影像,在海岸线遥感提取,确定陆域面积的基础上,对黄河三角洲整体、北部岸段以及河口岸段分别进行了冲淤演变研究;在分析入海水沙年际及年内变化的基础上,探讨了调水调沙前后,河口冲淤演变与水沙的关系。研究结果表明:①43年来,三角洲陆地面积呈波动性起伏,总体以淤积为主;河口在1996年以前面积增长显著,多年平均造陆面积约17 km 2/a,之后造陆过程逐渐减缓。②调水调沙后,年输沙量下降速率从0.31亿t/a锐减到0.07亿t/a,最大输沙量减少了79.7%,汛期输沙量减少了74.8%。③随着入海沙量不断减少,水沙过程虽仍直接影响着河口现行流路的造陆过程,但海洋动力作用制约不断提高,河口累积造陆面积与输沙量的相关性由1976—1993年的0.93降低至2002年之后的0.39。总体上,调水调沙工程虽维持了三角洲造陆面积的稳步增长,但长远来看,并不能改变未来三角洲陆域面积趋于减少的事实。

本文引用格式

李贺 , 黄翀 , 张晨晨 , 刘庆生 , 刘高焕 . 1976年以来黄河三角洲海岸冲淤演变与入海水沙过程的关系[J]. 资源科学, 2020 , 42(3) : 486 -498 . DOI: 10.18402/resci.2020.03.07

Abstract

In order to analyze the coastal erosion and sediment dynamics of the Yellow River Delta and their responses to the runoff-sediment flux since 1976, satellite images of Landsat from 1976 to 2018 were acquired and used in this study. After the extraction of coastline and Yellow River Delta area, we analyzed the erosion and sediment dynamics of the whole area, the northern coast, and the estuary respectively. Then, the inter-annual and intra-annual variations of runoff and sediment were analyzed. At last, the relationship between coastal erosion and sediment dynamics and runoff and sediment flux in the estuary was discussed. The results show that: (1) The land area of the Yellow River Delta has increased over the past 43 years. Before 1996, the area of the estuary increased significantly, with an annual average increase of about 17 km 2. Then the landmaking process gradually slowed down. (2) After water-sediment regulation, the rate of annual sedimentation decreased from 31 million t to 0.7 million t, the maximum decreased by 79.7%, and sediment decreased by 74.8% during the flood season. (3) The continuous decrease of sediment directly affects the epeirogenic process of the current flow path of the estuary, while the dynamic constraints of the ocean are increasing. Correlation between the cumulative epeirogenic area of the estuary and annual sediment decreased from 0.93 in 1976-1993 to 0.39 after 2002. On the whole, although the water-sediment regulation has maintained the growth of delta land area, the land area of the delta tends to decrease in the future.

1 引言

作为世界上含沙量最多的河流之一,黄河每年向河口及附近海域输送大量泥沙[1]。近现代黄河三角洲是自1855年黄河由苏北北归重新注入渤海以来,由黄河泥沙堆积孕育出的中国最年轻的一片国土,其形成只有160多年的历史。黄河三角洲土地资源丰富,土地不断增长且开发潜力巨大,是黄河三角洲高效生态经济区的建设核心区和山东半岛蓝色经济区的产业集聚区[2]。与此同时,黄河三角洲拥有中国暖温带最完整的湿地生态系统,具有极为重要的生物多样性保护价值。然而,由于成陆时间短,黄河三角洲淤泥质海岸地貌基底极不稳定[3]。同时,受河口改道、上游来水来沙变化及海平面变化影响,黄河三角洲海岸一直处于不断变化的状态,对黄河三角洲保护与开发带来极大挑战[4,5]。及时掌握黄河三角洲海岸演化态势与驱动机制,不仅可以深化对黄河三角洲冲淤演变过程及发育规律的认识,同时也为黄河三角洲高质量发展与河口保护战略实施提供科技支撑。
对黄河三角洲海岸演化动态的研究已有很 多[6,7,8]。根据研究领域可分为2个方面:①水下三角洲演化,主要是利用不同时期的实测海岸剖面数据,分析三角洲不同空间上的冲淤演变[1,9-11]。这种方法得到的冲淤演变数据更为准确,不仅能得到不同空间的冲淤演变,同时也能较为精确计算出时间段内的冲淤量,这对于准确把握河口三角洲的演化动态极为重要。但不足之处在于工作量大,费时费力,导致监测频率低。②针对陆上三角洲演化动态的研究[12,13],主要利用实测海岸线或基于遥感影像提取的海岸线数据,分析岸线时空变化,进一步得出三角洲陆域面积的增减规律[12,14]。这种方法的优势在于方便、快捷,能够对连续多年或一年内多个时段的岸线进行分析,有效提高监测频率。尤其是在缺乏实测数据的情况下,通过快速提取海岸线位置,能及时掌握海岸最新演化动态。但不足之处在于仅能得到海岸线平面空间上的变化,对于垂直向上的泥沙冲淤过程或速率无能为力,因而也就无法定量估算三角洲泥沙冲淤总量[15,16,17]。不过,由于水下三角洲冲淤与陆域岸线进退有密切的关系,因此岸线在平面空间上的动态同样可以很好地表征水下三角洲的冲淤过程。同时,近年来,不同传感器平台的多源遥感数据获取变得简单,为及时掌握三角洲演化动态提供了丰富的数据源。因此,基于高频遥感数据的海岸演化动态监测已成为黄河三角洲海岸演化动态研究的趋势。
基于遥感的海岸线动态监测主要困难在于精确提取海岸线位置。由于遥感成像的瞬时性,同时受潮位变动的影响,基于单期遥感影像提取的海岸线精度难以保证,因而会对海岸演化动态分析造成影响。为降低这种因岸线提取精度造成的误差,很多研究采用一段时间内(数年)的数期影像获取的海岸线数据分析海岸冲淤演变[18,19,20],这在一定程度上降低了岸线提取过程中的系统误差影响。但这些研究大多是针对特定时间段,时间跨度较小,难以系统地把握海岸演化动态;同时,在该时间段内由于只能用几期数据进行分析,细节程度不够,难以掌握海岸演化过程[19],因而也无法同黄河年入海水沙量建立相关关系[21]。2002年以来黄河下游实行水量统一调度,汛期进行调水调沙,河口入海水沙量时空过程出现新的变化形势[22,23]。而针对2002年调水调沙前后阶段黄河三角洲岸线变迁及入海水沙影响的对比研究还相对较少。
因此,本文利用USGS免费开放的Landsat系列长时间序列卫星存档数据(MSS、TM、ETM、OLI数据),以一年内汛期以后(9—12月)的遥感影像为基础,开展1976年以来的黄河三角洲海岸线信息提取,确定陆域面积。在此基础上,从空间上分别针对现代黄河三角洲整体、北部刁口河流路岸段以及河口现行流路岸段分析演化动态;并结合入海水沙通量年际及年内变化规律,着重分析2002年开始调水调沙前后阶段的岸线演变动态及与入海水沙关系,为今后三角洲相关的冲淤演变研究提供科学参考。

2 研究区、数据与方法

2.1 研究区概况

黄河三角洲位于山东省东北部黄河入海口处(图1),北临渤海,东临莱州湾,地处东经118°33'—119°20',北纬37°35'—38°12'。黄河尾闾1855年改道大清河后,形成了以宁海为顶点的近代三角洲,西起套尔河,南界支脉沟口,陆上面积约5400 km2;1932年,改道点下移,形成以渔洼为顶点的现代黄河三角洲,西起挑河,南抵宋春荣沟口,陆上面积2200 km2
图1 黄河三角洲区域位置

Figure 1 Location of the Yellow River Delta

最近一次较大的人工改道事件发生在1976年5月。在西河口实施了有计划的人工改道,原北向的刁口河流路被废弃,改道东南向清水沟流路入海。在1996年5—7月施行人工改道,原流路废弃,黄河改由清8汊断面东北向入海,形成黄河当前入海口门。由于石油开采、湿地保护、风暴潮防护等需求,黄河三角洲海岸带岸线人工化严重,岸线较为稳定。因此,本文在分析海岸带冲淤演变时,主要围绕现代黄河三角洲范围内开放的河口部分,包括北部刁口河岸段、清水沟废弃流路岸段及现行流路清8断面岸段3个部分(图1)。

2.2 数据来源

2.2.1 遥感数据及预处理
遥感技术为三角洲海岸变化研究提供了有效手段。针对本文长时间跨度的海岸冲淤演变研究,从卫星传感器类型的延续性、影像获取时间跨度、影像时空分辨率等方面考虑,本文选择Landsat系列卫星长时间序列数据集(MSS、TM、ETM、OLI数据)作为黄河三角洲43年来海岸变迁提取的遥感数据源。卫星数据从美国地质调查局(USGS)网站(http://earthexplorer.usgs.gov/)下载获取。考虑到黄河三角洲是不断动态冲淤的过程,逐年海岸线提取的系统误差可能会造成陆域面积与入海水沙通量的关系难以建立;而多年/期的时间频率,又难以掌握冲淤演变的细节特征。因此,本文在时间频率上以2年/期影像的方式进行遥感海岸线信息提取。
鉴于黄河汛期入海水沙对海岸蚀淤的关键影响,本文尽量选择汛期之后的遥感影像提取的海岸线作为当年的海岸线位置,并以此构建三角洲陆域面积。选择的卫星数据基本集中于9—12月份(受云雨影响,个别年份无可用影像时,可依时间往前检索获取),最终得到研究所需的Landsat长时间序列数据集(表1)。
表1 卫星遥感数据集

Table 1 List of the satellite remote sensing data

序号 时间 数据类型 波段数 分辨率/m 序号 时间 数据类型 波段数 分辨率/m
1 1976.12.01 MSS 4 80 12 1998.09.10 TM 7 30
2 1978.03.12 MSS 4 80 13 2000.10.17 TM 7 30
3 1980.06.08 MSS 4 80 14 2002.10.23 TM 7 30
4 1982.10.20 MSS 4 80 15 2004.10.28 TM 7 30
5 1984.10.05 MSS 4 80 16 2006.10.02 TM 7 30
6 1986.05.20 TM 7 30 17 2008.10.07 TM 7 30
7 1988.12.03 TM 7 30 18 2010.09.11 TM 7 30
8 1990.06.16 TM 7 30 19 2012.11.27 ETM+ 8 30
9 1992.11.12 TM 7 30 20 2014.10.24 OLI 9 30
10 1994.10.17 TM 7 30 21 2016.10.13 OLI 9 30
11 1996.09.20 TM 7 30 22 2018.10.19 OLI 9 30
遥感影像的预处理主要包括大气校正和几何校正。大气校正主要基于辐射传输的FLAASH模型进行校正,可以去除水汽、气溶胶等对影像反射率的影响。几何校正主要分为2步:①首先对2018年的OLI影像进行几何精校正。主要采用多项式方法,通过在研究区内均匀选择30个地面控制点的方式,建立影像与地面控制点间的多项式空间变换,得到几何精校正的结果,校正误差在0.5个象元以内;②以2018年OLI影像为参考,对其余影像进行配准,最终得到所有的几何校正影像。以上的预处理操作,主要在ENVI 5.3遥感专业处理软件中进行,所得影像数据集的空间分辨率统一为30 m,投影坐标系统统一采用UTM WGS-84坐标系。
2.2.2 水沙资料
利津水文站位于山东省东营市利津镇刘夹河村,是黄河入海前的最后一个水文监测站。因此,入海水沙量采用利津水文站的监测结果。本文采用利津站1976—2018年以来的水沙资料,包括月/年径流量、输沙量等,数据来源于对应年份的《黄河流域水文年鉴》和《黄河泥沙公报》。

2.3 研究方法

2.3.1 海岸线位置确定
海岸线是陆地与海洋的交界线,是指多年大潮平均高潮位时的海陆分界线。海岸线的确定通常采用实地测量法和遥感信息提取法[18,24],实地测量法相对准确,但野外工作量大,难度高,不利于大范围开展。遥感影像的可重复获取与综合性能,为海岸线提供了及时、覆盖范围广的空间数据。
遥感影像提取的瞬时水边线,受潮水影响较大,为减小其影响,真实反映海岸线变化,目前已发展出多种估算海岸线的方法:同月同潮位法、平均潮位线法等[18,20,24,25]。相关研究表明同月同潮位法是提取海岸线较为理想的方式[24],但满足同月同潮位条件的遥感影像较少,获取相应的遥感资料比较困难。相关研究表明[26],平均潮位线法提取的海岸线与同月同潮位法相近,且不需要潮位和地形资料,仅通过遥感影像的分类处理即可获取,是一种海岸线提取的便捷方式。
本文在综合前人研究的基础上,采用平均潮位线法来提取海岸线所含陆域面积,以此分析计算黄河三角洲总体及不同岸段的冲淤变化,即基于瞬时水边线和一般高潮位线所含陆面面积,通过潮汐校正间接获取。具体过程如下:
(1)确定瞬时水边线。由于水与陆地的反射率相差较大,因此遥感影像能够呈现清晰的水陆分界线,可直接获取卫星成像时的瞬时水边线。
(2)确定一般高潮线。一般高潮线是指海洋潮流发生非特大高潮时,海水所淹没的平均界线。一般高潮线介于高潮滩与中潮滩之间,由于潮滩物质成分的差异以及暴露时间的长短而导致含水量的不同,在遥感影像上表现出不同的光谱特征信息,易于识别,可采用遥感影像的分类处理与目视解译相结合的方法来确定,简单易行,不需要进行修正。
(3)计算海岸线包围陆面面积。一般高潮线与瞬时水边线之间的区域频繁受潮水的影响,长时期2条线之间的面积均值可看作平均受潮水影响的面积,将该面积与一般高潮线所包含的面积加和,以此对一般高潮线进行修正,即可得到平均潮位下的陆面面积,也就是海岸线所包围的陆面面积。
2.3.2 海岸线位置的遥感提取
本文采用ENVI 5.3软件对遥感影像进行海岸线提取。首先采用非监督分类方法对Landsat多波段融合后的影像进行预分类。由于高潮滩和中潮滩的地貌特征和植被的发育程度不同,在遥感影像上表现出不同的地物波谱特征。因此根据非监督分类的结果选取训练样区,运用监督分类方法提取水体、高潮滩、中潮滩。最后根据分类后的影像结果,利用ArcGIS 10.2工具通过目视解译来提取一般高潮线和瞬时水边线,经计算得到最终的平均潮位线结果。
2.3.3 统计分析
研究运用双累积曲线分析方法[27],确定利津站径流量及输沙量关系演变及其临界年份。对入海水沙通量与河口造陆面积进行相关性分析,来建立两者间的关系。所有统计计算过程均在Excel软件中进行。

3 结果与分析

3.1 1976—2018年黄河三角洲冲淤演变

3.1.1 黄河三角洲总体冲淤演变
从1976—2018年黄河三角洲的面积变化(图2a)可以得出,随着时间推移,三角洲陆地面积总体呈现波动性起伏,变化规律不明显。其中,1976—1980年间,三角洲陆地出现部分蚀退现象,面积由2369 km2减少至2301 km2;1981—1984年,陆地面积快速扩张,达到2588 km2的最高值;之后10年呈上下波动趋势;1994年以后缓慢下降;2008年以后缓慢上升;至2018年,陆地面积为2494 km2,多年平均造陆面积约2.88 km2/a。
图2 1976—2018年以来黄河三角洲陆地面积(a)及累积造陆面积(b)变化过程

Figure 2 Annual area of the Yellow River Delta (a) and cumulative epeirogenic land (b), 1976-2018

分析三角洲造陆面积的变化(图2b)可以发现,1976—2018年,黄河三角洲累积造陆面积除1976—1980年出现负值外(陆地侵蚀面积为67.9 km2),总体呈现增长趋势,至2016—2018年,累积造陆面积124 km2。拟合趋势线可以得出,三角洲累积造陆面积总体趋于平稳,在86 km2上下浮动,反映出43年来随着黄河入海水沙量的减少,三角洲造陆过程逐渐减缓并趋于稳定。
3.1.2 河口岸段冲淤演变
(1)1976—1996年清水沟流路时期
1976—1996年,河口面积呈现显著增长趋势(图3a),面积由1976年的285 km2,增至1996年的623 km2,造陆总面积为338 km2,河口多年平均造陆面积约16.1 km2/a。
图3 1976—1996年河口陆地面积(a)及累积造陆面积(b)

Figure 3 Annual area of estuary (a) and cumulative epeirogenic land (b), 1976-1996

这一时期,河口造陆面积随年际间变化明显(图3b),累积造陆总体呈增加趋势,其中1994—1996年的累积造陆面积,较1976—1978年增加了约11倍。
(2)1996—2018年北汊现行流路时期
1996—2018年,河口面积总体变化较小,基本在525~644 km2的范围内波动(图4a)。进一步分析其造陆面积(图4b),发现23年间,河口冲淤面积总体在-100 km2到130 km2之间浮动,至2016—2018年累积造陆面积约68 km2。从拟合趋势线总体趋近于零可以得出,随着时间推移黄河入海水沙量减少,河口造陆过程逐渐减缓并趋于稳定。
图4 1996—2018年河口(a, b)、现行流路(c, d)及清水沟废弃流路(e, f)的陆地面积及累积造陆面积

Figure 4 Annual area and cumulative epeirogenic land of estuary (a, b), current flow path (c, d) and abandoned flow path (e, f), 1996-2018

对于现行流路(图4c),陆域面积除在1998—2004年和2008—2010年时间段有部分减少外,总体呈增长趋势。面积由1996年的208 km2,增加至2018年的284 km2,河口面积多年平均增加速率约3.3 km2/a。就造陆面积(图4d)而言,现行流路在2004年以前出现部分蚀退过程;2004年以后,淤积过程明显,累积造陆面积均为正值,至2016—2018年累积造陆面积达到46.4 km2
对于清水沟废弃流路(图4e),1996—2018年,废弃流路入海沙嘴由于无黄河水沙的补给,流路面积总体趋于减少,由1996年的411 km2减少至2018年的280 km2,废弃流路岸段多年平均蚀退速率约为5.7 km2/a。23年来累积造陆面积由1996—1998年的43.8 km2降低至2016—2018年的21.9 km2,总体呈负相关趋势(图4f)。
3.1.3 北部刁口河流路岸段冲淤演变
自1976年黄河改道清水沟入海以来,影响刁口河流路岸段冲淤的因素主要以潮汐及风暴潮为主。研究发现随着时间推移,刁口河岸段面积呈逐年波动性减少(图5a),43年间,流路陆地面积由初始的350 km2减少至2018年的160 km2,减少面积约55%,岸段多年平均蚀退速率约为4.4 km2/a。
43年间,刁口河流路累积造陆面积由1976—1978年的-81.8 km2降低至2018年的-194.0 km2图5b)。造陆面积呈现明显的减少趋势,岸段呈现不断蚀退过程。
图5 1976—2018年北部刁口河流路陆地面积(a)及累积造陆面积(b)

Figure 5 Annual area (a) and cumulative epeirogenic land (b) of the north coast, 1976-2018

3.2 1976—2018年入海水沙变化特征

3.2.1 入海水沙年际变化特征
根据利津水文站年净流量及输沙量变化趋势(图6),将其分为2个阶段进行分析:小浪底水库运行前的1976—2001年阶段和2002—2015年水沙调控阶段(其中,2016—2017年调水调沙中断,2018年恢复)。
图6 1976—2018年利津站年径流(a)及输沙量(b)年际变化

Figure 6 Annual runoff (a) and sediment (b) at the Linjin Hydrometric Station, 1976-2018

从年入海径流量(图6表2)来看,1976—2018年径流量呈下降趋势。其中,1976—2001年呈显著下降趋势,下降速率为12.54亿m3/a,多年平均径流量为214.94亿m3。2002—2018年径流量表现为增加趋势,增加速率为1.62亿m3/a,多年平均径流量为174.36亿m3,与1976—2001年相比均有较大幅度的减少。
表2 1976—2018年调水调沙前后年径流量和年输沙量特征

Table 2 Statistics of annual runoff and sediment before and after the water-sediment regulation, 1976-2018

参数 时间阶段 最大值 最小值 极差 均值
年径流量/108 1976—2001 491.00(1983年) 18.61(1997年) 472.39 214.94
2002—2018 333.80(2018年) 41.89(2002年) 291.91 174.36
年输沙量/108 t 1976—2001 11.50(1981年) 0.16(1997年) 11.34 5.36
2002—2018 3.70(2003年) 0.08(2017年) 3.62 1.35
从年入海沙量(图6表2)来看,1976—2018年呈下降趋势,下降速率为0.21亿t/a。其中,1976—2001年下降速率为0.31亿t/a,平均输沙量为5.36亿t。2002—2018年间,年输沙量下降速率降低为0.07亿t/a,平均输沙量为1.35亿t,较2002年以前有较大幅度减少,调水调沙使入海沙量年际特征发生了显著变化。
研究进一步分析径流量与输沙量之间的关系,以判断两者的变化是否协调一致。从图7可以看出,累积年输沙量与径流量呈现显著的正相关关系,但1976—2018年双累积曲线出现了1次下偏转折点,说明输沙量发生了1次突变式减少。这个转折点发生于2001—2002年,主要是由于小浪底水利枢纽工程完全竣工,水库开始实施调水调沙工程,通过水库的大量泄水形成人造洪峰,加大了对下游河床的冲刷,在此期间,径流量大幅提高,输沙量缓慢减少,造成双累积曲线呈现明显右偏转。
图7 调水调沙前后输沙量与径流量的关系

Figure 7 Relationship between sediment and runoff before and after the water-sediment regulation

3.2.2 入海水沙年内分配特征
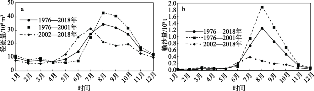
1976—2001年的径流量和输沙量在年内分配上与1976—2018年多年平均情况大体相同(图8),洪峰和沙峰起涨点均从6月开始,8月达到峰值,整个汛期(7—10月)都维持较大的流量和输沙量。调水调沙之后,洪峰和沙峰起涨点提前至5月份,峰值时间提前至7月份,径流量和输沙量明显降低,洪峰流量由42.67亿m3降至31.03亿m3,减少了27.3%;最大输沙量由1.89亿t降低至0.38亿t,减少了79.7%,说明调水调沙改变了径流量和输沙量在年内的分配。
图8 1976—2018年利津站月均径流量(a)及输沙量(b)统计结果

Figure 8 Monthly average runoff (a) and sediment (b) at the Linjin Hydrometric Station, 1976-2018

调水调沙一般从每年6月下旬开始,导致汛期提前1个月,计算中定义调水调沙年段的汛期时间为每年的6—10月。1976—2001年汛期多年平均径流量为139.13亿m3,2002—2018年减少至114.36亿m3,比1976—2001年减少了17.8%。1976—2001年汛期多年平均输沙量为4.81亿t,2002—2018年减少至1.21亿t,比1976—2001年减少了74.8%。调水调沙前后,非汛期的径流量和输沙量变化不大。

3.3 河口冲淤演变与水沙通量的关系

从河口岸段累积年径流量和输沙量与造陆面积的关系(图9)可以看出,1996年以前,河口累积造陆面积随着累积年径流量和输沙量显著增加,R2为0.77,水沙过程直接影响造陆过程;1996—2002年阶段,黄河入海水沙急剧减少,除1998年外其余年份径流量和输沙量分别小于50亿m3和2亿t(图6),发生多次断流现象,造成现行北汊流路及清水沟废弃流路造陆面积出现持续负值,河口造陆面积呈现随径流和输沙量减少的趋势,但不显著;2002年后,河口造陆面积随径流量无显著变化,随输沙量有显著增加的趋势,但R2极小。原因主要由于河口总体岸段中的清水沟废弃流路岸段,自黄河改道北汊后,不再受黄河入海水沙通量的影响,而且其受潮汐作用处于不断蚀退过程,必将会冲淡北汊流路淤积过程与水沙通量的关系,造成河口总体岸段冲淤演变与输沙量的不相关。
图9 1976—2018年径流量(a)及输沙量(b)与河口及陆地面积的关系

Figure 9 Relationship between annual runoff (a), sediment (b) and epeirogenic area of the estuary, 1976-2018

针对现行流路沙嘴来说,由图10可以看出,与河口总体岸段相类似,1996年以前累积造陆面积随累积年径流量、输沙量显著增加;1996—2002年累积造陆面积随累积年径流量、输沙量显著减少,R2分别为0.71和0.52,远高于河口总体岸段的R2;调水调沙运行之后,累积造陆面积随累积年径流量无显著变化,随输沙量显著增加。说明在黄河来沙是三角洲冲淤演变物质基础的前提下,水沙过程仍直接影响着河口现行流路的造陆过程。
图10 1976—2018年径流量(a)及输沙量(b)与现行流路沙嘴造陆面积的关系

Figure 10 Relationship between the annual runoff (a), sediment (b) and epeirogenic area of current flow path, 1976-2018

4 讨论

黄河三角洲发育与海岸冲淤演变是黄河入海水沙条件和海洋动力相互作用的结果,前者使得向海淤进,后者造成向陆蚀退[28,29,30]。1976年,黄河人工改道清水沟流路以来,三角洲整体处于不断的冲淤动态变化过程,不同时期海岸冲淤演变差异明显。这种冲淤状态的时空变化受黄河入海水沙量、河口海域地形和海洋动力条件等综合影响。
1976—1996年,黄河改道清水沟初期,水沙充足,河口海域宽浅,泥沙快速淤积造陆。这一时期,北部刁口河岸段来沙断绝,海洋动力成为岸段冲淤演变的主导因素,虽然在波浪和潮流作用下岸段出现明显蚀退,但黄河三角洲整体仍处于淤积大于蚀退,陆域面积增长平稳状态。因此,本文进一步分析了受水沙影响的河口岸段冲淤演变与水沙通量关系,发现黄河改道清水沟初期河口岸段冲淤演变与入海水沙呈现显著的正相关关系,是近43年来河口岸段的主要造陆阶段,这个研究结论与前人研究基本一致[3,14]
1996—2001年,黄河入海水沙急剧减少,同时,在清8断面出汊,口门改道东北方向入海,清8改汊工程造成河口形态、海岸条件及河口海洋动力都发生了巨大改变。且随着水土保持工程(梯田、造林、种草、淤地坝拦沙)的生效及黄河流域沿途工农业引水引沙的加剧[28,31-34],特别是1999年退耕还林工程的启动与小浪底枢纽的运行,造成下游河道萎缩、断流频发、输沙功能衰竭,入海水沙量急剧减少,海洋侵蚀作用加剧,海岸蚀退超过淤积,累积造陆面积呈减少趋势[12,26]。受此影响,原东南向沙嘴失去入海沙量的直接补给,泥沙通过口门的再悬浮沉积量有限;同时,沙嘴向海深入,受海洋动力作用剧烈,蚀退强烈[12,13]。因此,河口岸段在此期间呈现较为明显的蚀退过程,属于海进陆退阶段。
2002—2018年,小浪底水库开始实行水沙的统一调度,入海水沙量较1996—2001年有所增加(图6),总量减少趋势得到遏制。但黄土高原多年水土保持工程及退耕还林作用持续生效,从源头上减少了进入黄河河道的泥沙总量;且调水调沙通过各水利枢纽、库区清淤的方式,短时间增大了入海水沙量,但随着时间推移及调水调沙次数增多,库区淤积泥沙必然减少。这也造成年入海沙量由过去的4~6亿t锐减至1~2亿t,黄河水沙情势开始从“水少沙多”转变为“水多沙少”,河口入海径流密度下降,形成羽状流形式运动于海水上层,成为现今黄河泥沙入海、沉积造陆的主要方式[35,36,37,38]。羽状流的泥沙运移方式受径流和潮汐的影响,较以往的异重流变化更为剧烈,造陆过程更为困难、复杂,造成河口多年平均造陆速率由调水调沙前的17.00 km2/年锐减至3.09 km2/年。同时,东南废弃流路沙嘴受波浪和潮流等海洋动力为主导的作用,蚀退强烈。总体上,黄河三角洲河口岸段的淤积略大于蚀退,造陆面积仍处于缓慢增加阶段,这个研究结论也与前人研究基本一致[17,21,22]
除入海水沙量年际变化外,水沙的年内分布不均也会影响三角洲造陆过程。调水调沙期间,入海水沙由以往集中于汛期的7—10月调整至6—8月,入海沙量普遍超过全年的85%,造成河口造陆时间缩短,侵蚀过程相对延长。这有利于流路的稳定,减少了黄河沿线的河道淤积过程,但对于造陆来说可能不利。本文通过结果的提取对比,发现相似的水沙条件下,调水调沙后的造陆面积普遍要低于调水调沙前。相关研究表明[15,39,40],相对集中的调水调沙时间会改变原有的入海水沙情势,虽可以快速增加造陆面积,但长远来说会造成蚀退,影响河口造陆过程,这与本文观点较为一致。
除水沙条件影响外,海洋动力作用也是影响三角洲海岸冲淤演变的关键因素。本文发现河口现行流路沙嘴累积造陆面积与入海沙量的R2由1996年以前的0.86,下降至1996—2001年的0.52,再锐减至2002年调水调沙后的0.15,这在一定程度上说明了海洋动力作用对三角洲造陆的制约。1996年以前,年入海沙量超过4亿t,形成高含沙的异重流,密度大于海水密度,易于沉积,海洋潮汐作用影响较小,造陆过程显著;1996年清8改汊工程实施,出汊口距无潮点距离缩短18 km,在潮汐动力作用下,利于在新口门外形成高速流场,便于入海泥沙在较为宽浅的区域内淤积造陆[26,35]。但入海沙量的减少,一定程度上降低了对河口淤积造陆的影响,相关系数减小,但入海沙量在造陆过程中仍起着主导作用;2002年调水调沙施行后,入海沙量虽有所减缓,但径流量呈增长趋势,水沙比(沙量除以径流量)持续下降,入海水沙以羽状流形式(密度低于海水密度)入海,潮汐动力、余流和和底层流场等因素影响程度增加,阻碍造陆过程进行,增加了造陆过程的复杂程度,降低了造陆面积与入海沙量的相关性[35,36]
总体而言,黄河三角洲现行河口大体上能够保持较为平稳的造陆面积。但长远来看,进入黄河的泥沙量从源头上已经大幅减少,调水调沙所能够清淤的库区泥沙量持续降低,河流沿途工农业引水引沙加剧,使得入海沙量及水沙比不断减少,且北部刁口河岸段及东南废弃流路沙嘴在海洋动力作用下不断蚀退,现行流路清8汊口门淤积过程不断减缓,未来三角洲总体陆域面积会趋于减少。

5 结论

本文以1976—2018年间的Landsat长时间序列卫星影像和黄河入海水沙统计资料为数据源,运用平均潮位线法在提取多年海岸线的基础上,分别对三角洲海岸冲淤演变、水沙年际及年内变化特征以及两者间的关系进行了系统研究。总体结论如下:
(1)黄河三角洲冲淤演变总体呈现波动性起伏,变化规律不明显。1976—2018年间,陆域面积总体以淤积为主,多年平均造陆面积约2.88 km2/a;1976—1996年,河口岸段面积增长显著,河口多年平均造陆面积约16.1 km2/a;1996—2018年,河口累积造陆面积约为68 km2,面积增长减缓并逐渐趋于稳定。
(2)影响海岸冲淤演变的入海沙量呈现显著的年际及年内变化规律。输沙量在1976—2018年间总体呈下降趋势,下降速率为0.21亿t/a;调水调沙前后,入海沙量下降速率分别为0.31亿t/年和0.07亿t/a。年内分配上,调水调沙前后,最大输沙量减少了79.7%,汛期输沙量减少了74.8%。
(3)海洋动力作用对黄河三角洲造陆过程的制约不断提高。随着入海沙量不断减少,水沙过程虽仍直接影响着河口现行流路的造陆过程,但潮汐动力、余流和和底层流场等因素影响程度增加,使得河口累积造陆面积与入海沙量的相关性不断降低,河口累积造陆面积与输沙量的相关性由1976—1993年的0.93降至2002年之后的0.39。
[1]
密蓓蓓, 阎军, 庄丽华 , 等. 现代黄河口地形地貌特征及冲淤变化[J]. 海洋地质与第四纪地质, 2010,30(3):31-38.

[ Mi B B, Yan J, Zhuang L H , et al. The topographical and morphological features of modern Yellow River Mouth area and their relation to erosional/depositional processes[J]. Marine Geology & Quaternary Geology, 2010,30(3):31-38.]

[2]
王建华, 胡鹏, 龚家国 . 实施黄河口大保护推动黄河流域生态文明建设[J]. 人民黄河, 2019,41(10):7-10.

[ Wang J H, Hu P, Gong J G . Taking the great protection of the Yellow River Estuary as the grasp to promote the construction of ecological civilization in the Yellow River Basin[J]. Yellow River, 2019,41(10):7-10.]

[3]
陈沈良, 谷硕, 姬泓宇 , 等. 新入海水沙情势下黄河口的地貌演变[J]. 泥沙研究, 2019,44(5):61-67.

[ Chen S L, Gu S, Ji H Y , et al. Processes of the Yellow River Mouth on new water and sediment condition[J]. Journal of Sediment Research, 2019,44(5):61-67.]

[4]
余欣, 张原锋, 于守兵 , 等. 黄河口演变与流路稳定综合治理研究[J]. 人民黄河, 2018,40(3):1-6.

[ Yu X, Zhang Y F, Yu S B , et al. Study on both morphological changes of Yellow River Estuarine course and integrated management for its stability[J]. Yellow River, 2018,40(3):1-6.]

[5]
Wolters M L, Sun Z, Huang C , et al. Environmental awareness and vulnerability in the Yellow River Delta: Results based on a comprehensive household survey[J]. Ocean & Coastal Management, 2016,120:1-10.

[6]
Fan Y S, Chen S L, Zhao B , et al. Monitoring tidal flat dynamics affected by human activities along an eroded coast in the Yellow River Delta, China[J]. Environmental Monitoring and Assessment, 2018,190(7):396.

[7]
郑珊, 吴保生, 周云金 , 等. 黄河口清水沟河道的冲淤过程与模拟[J]. 水科学进展, 2018,29(3):322-330.

[ Zheng S, Wu B S, Zhou Y J , et al. Erosion and aggradation processes and calculation method for the Qingshuigou channel on the Yellow River Delta[J]. Advances in Water Science, 2018,29(3):322-330.]

[8]
王志一, 徐素宁, 姜艳辉 , 等. 苏北废黄河三角洲岸线变迁与海岸冲淤动态遥感监测[J]. 南水北调与水利科技, 2013,11(1):136-139.

[ Wang Z Y, Xu S N, Jiang Y H , et al. Remote sensing based dynamic monitoring of coastline change and coastal erosion and deposition of the abandoned Yellow River Delta in norther area of Jiangsu Province[J]. South-to-North Water Transfers and Water Science & Technology, 2013,11(1):136-139.]

[9]
王万战, 吴嫡捷 . 黄河三角洲附近海域地形测量最佳时段确定[J]. 人民黄河, 2018,40(8):22-26.

[ Wang W Z, Wu D J . Determination of optimum timing for bathymetric survey in the Yellow River Deltaic sea[J]. Yellow River, 2018,40(8):22-26.]

[10]
胥维坤, 陈沈良, 李平 , 等. 黄河三角洲近岸沉积物和悬沙的分布特征及其冲淤指示[J]. 泥沙研究, 2016, ( 3):24-30.

[ Xu W K, Chen S L, Li P , et al. Distribution characteristics of sedimentation and suspended load and their indications for erosion-siltation in the littoral of Yellow River Delta[J]. Journal of Sediment Research, 2016, ( 3):24-30.]

[11]
刘勇, 李培英, 丰爱平 , 等. 黄河三角洲地下水动态变化及其与地面沉降的关系[J]. 地球科学(中国地质大学学报), 2014,39(11):1655-1665.

[ Liu Y, Li P Y, Feng A P , et al. Groundwater dynamic evolutions and relationship between groundwater level and land subsidence in the Yellow River Delta[J]. Earth Science (Journal of China University of Geosciences), 2014,39(11):1655-1665.]

[12]
王一鸣, 高鹏, 穆兴民 , 等. 1973年以来黄河三角洲形态与入海水沙通量关系研究[J]. 泥沙研究, 2018,43(5):39-45.

[ Wang Y M, Gao P, Mu X M , et al. Relationship between the shape of the Yellow River Delta and the runoff-sediment flux since 1973[J]. Journal of Sediment Research, 2018,43(5):39-45.]

[13]
王万战, 于守兵, 徐丛亮 , 等. 利用海洋动力减缓黄河口淤积延伸速率的研究[J]. 人民黄河, 2012,34(2):19-21.

[ Wang W Z, Yu S B, Xu C L , et al. Slowdown seaward progradation of the Yellow River Mouth by using current and waves[J]. Yellow River, 2012,34(2):19-21.]

[14]
程慧, 陈沈良, 徐丛亮 , 等. 黄河三角洲孤东近岸冲淤演变及其影响因素[J]. 海洋科学, 2019,43(11):11-18.

[ Cheng H, Chen S L, Xu C L , et al. Coastal evolution and its influencing factors in the Gudong nearshore area of the Yellow River Delta[J]. Marine Sciences, 2019,43(11):11-18.]

[15]
时连强, 李九发, 应铭 , 等. 近、现代黄河三角洲发育演变研究进展[J]. 海洋科学进展, 2005,23(1):96-104.

[ Shi L Q, Li J F, Ying M , et al. Advances in researches on the modern Yellow River Delta development and evolution[J]. Advances in Marine Science, 2005,23(1):96-104.]

[16]
Kuenzer C, Ottinger M, Liu G H , et al. Earth observation-based coastal zone monitoring of the Yellow River Delta: Dynamics in China’s second largest oil producing region over four decades[J]. Applied Geography, 2014,55:92-107.

[17]
Yang Z F, Yan Y, Liu Q . Assessment of the flow regime alterations in the lower Yellow River, China[J]. Ecological Informatics, 2012,10:56-64.

[18]
吴一全, 刘忠林 . 遥感影像的海岸线自动提取方法研究进展[J]. 遥感学报, 2019,23(4):582-602.

[ Wu Y Q, Liu Z L . Research progress on methods of automatic coastline extraction based on remote sensing images[J]. Journal of Remote Sensing, 2019,23(4):582-602.]

[19]
王奎峰, 李念春, 王薇 . 黄河三角洲多年海岸线动态变迁特征及演化规律[J]. 应用海洋学学报, 2018,37(3):330-338.

[ Wang K F, Li N C, Wang W . Characteristics of coastline change and multiyear evolution of the Yellow River Delta[J]. Journal of Applied Oceanography, 2018,37(3):330-338.]

[20]
李丹, 王庆, 徐洋 , 等. 基于地学信息图谱的河道、海岸线演变对黄河三角洲景观格局影响研究[J]. 海洋与湖沼, 2018,49(6):1220-1229.

[ Li D, Wang Q, Xu Y , et al. Influence of river and coastline evolution on landscape pattern in the Yellow River Delta based on the geoscience-information atlas[J]. Oceanologia et Limnologia Sinica, 2018,49(6):1220-1229.]

[21]
Zhou Y Y, Huang H Q, Nanson G C , et al. Progradation of the Yellow (Huanghe) River Delta in response to the implementation of a basin-scale water regulation program[J]. Geomorphology, 2015,243:65-74.

[22]
孙珊, 苏博, 李凡 , 等. 调水调沙对黄河口及邻近海域环境状况的影响[J]. 海洋环境科学, 2019,38(3):399-406.

[ Sun S, Su B, Li F , et al. Effects of water and sediment discharge regulation on environment in the Yellow River Estuary and adjacent waters[J]. Marine Environmental Science, 2019,38(3):399-406.]

[23]
Wang H J, Wu X, Bi N S , et al. Impacts of the dam-orientated water-sediment regulation scheme on the lower reaches and delta of the Yellow River (Huanghe): A review[J]. Global and Planetary Change, 2017,157:93-113.

[24]
梁立, 刘庆生, 刘高焕 , 等. 基于遥感影像的海岸线提取方法综述[J]. 地球信息科学学报, 2018,20(12):1745-1755.

[ Liang L, Liu Q S, Liu G H , et al. Review of coastline extraction methods based on remote sensing images[J]. Journal of Geo-information Science, 2018,20(12):1745-1755.]

[25]
乔学瑾, 王庆, 战超 , 等. 基于多光谱数据的黄河三角洲岸线自动提取[J]. 海洋学报, 2016,38(7):59-71.

[ Qiao X J, Wang Q, Zhan C , et al. Study on automatic extraction of coastline in the Yellow River Delta based on multi-spectral data[J]. Acta Oceanologica Sinica, 2016,38(7):59-71.]

[26]
常军, 刘高焕, 刘庆生 . 黄河口海岸线演变时空特征及其与黄河来水来沙关系[J]. 地理研究, 2004,23(3):339-346.

[ Chang J, Liu G H, Liu Q S . Analysis on spatio-temporal feature of coastline change in the Yellow River Estuary and its relation with runoff and sand-transportation[J]. Geographical Research, 2004,23(3):339-346.]

[27]
穆兴民, 张秀勤, 高鹏 , 等. 双累积曲线方法理论及在水文气象领域应用中应注意的问题[J]. 水文, 2010,30(4):47-51.

[ Mu X M, Zhang X Q, Gao P , et al. Theory of Double Mass Curves and its applications in hydrology and meteorology[J]. Journal of China Hydrology, 2010,30(4):47-51.]

[28]
许炯心 . 黄河三角洲造陆过程中的陆域水沙临界条件研究[J]. 地理研究, 2002,21(2):163-170.

[ Xu J X . A study of thresholds of runoff and sediment for the land accretion of the Yellow River Delta[J]. Geographical Research, 2002,21(2):163-170.]

[29]
彭俊, 陈沈良 . 近60年黄河水沙变化过程及其对三角洲的影响[J]. 地理学报, 2009,64(11):1353-1362.

[ Peng J, Chen S L . The variation process of water and sediment and its effect on the Yellow River Delta over the six decades[J]. Acta Geographica Sinica, 2009,64(11):1353-1362.]

[30]
韩广轩, 栗云召, 于君宝 , 等. 黄河改道以来黄河三角洲演变过程及其驱动机制[J]. 应用生态学报, 2011,22(2):467-472.

[ Han G X, Li Y Z, Yu J B , et al. Evolution progress and related driving mechanisms of Yellow River Delta since the diversion of Yellow River[J]. Chinese Journal of Applied Ecology, 2011,22(2):467-472.]

[31]
林秀芝, 董晨燕, 苏林山 , 等. 黄河小北干流冲淤与水沙响应关系分析[J]. 人民黄河, 2019,41(5):5-8.

[ Lin X Z, Dong C Y, Su L S , et al. Analysis of the relationship between scouring and silting and response of water and sediment in Xiaobeiganliu reach of the Yellow River[J]. Yellow River, 2019,41(5):5-8.]

[32]
许炯心 . 黄河下游泥沙输移特征对入海泥沙通量的影响[J]. 海洋与湖沼, 2003,34(6):663-670.

[ Xu J X . Sediment fluxes to the sea as influenced by sediment delivery of the lower Yellow River[J]. Oceanologia et Limnologia Sinica, 2003,34(6):663-670.]

[33]
郑景云, 文彦君, 方修琦 . 过去2000年黄河中下游气候与土地覆被变化的若干特征[J]. 资源科学, 2020,42(1):3-19.

[ Zheng J Y, Wen Y J, Fang X Q . Changes of climate and land cover in the middle and lower reaches of the Yellow River over the past 2000 years[J]. Resources Science, 2020,42(1):3-19.]

[34]
杨磊, 冯青郁, 陈利顶 . 黄土高原水土保持工程措施的生态系统服务[J]. 资源科学, 2020,42(1):87-95.

[ Yang L, Feng Q Y, Chen L D . Ecosystem services of soil and water conservation measures on the Loess Plateau[J]. Resources Science, 2020,42(1):87-95.]

[35]
李国胜, 王海龙, 董超 . 黄河入海泥沙输运及沉积过程的数值模拟[J]. 地理学报, 2005,60(5):707-716.

[ Li G S, Wang H L, Dong C . Numerical simulations on transportation and deposition of SPM introduced from the Yellow River to the Bohai Sea[J]. Acta Geographica Sinica, 2005,60(5):707-716.]

[36]
师长兴 . 黄河河口泥沙扩散规律分析: 以钓口河流路为例[J]. 地理科学, 2009,29(1):83-88.

[ Shi C X . Analysis of sediment dispersal of the Huanghe (Yellow) River Mouth: A case of Diaokouhe lobe[J]. Scientia Geographica Sinica, 2009,29(1):83-88.]

[37]
薛兴华, 李国胜, 王海龙 . 不同流路时期黄河三角洲沿岸余流场的数值对比研究: 以北岸钓口河和东岸清水沟流路初期为例[J]. 海洋通报, 2011,30(2):142-151.

[ Xue X H, Li G S, Wang H L . A numerical comparative study on residual currents along the Yellow River Delta during two different estuary routes: A typical case of early periods of Diaokou and Qingshuigou channel[J]. Marine Science Bulletin, 2011,30(2):142-151.]

[38]
贾绍凤, 梁媛 . 新形势下黄河流域水资源配置战略调整研究[J]. 资源科学, 2020,42(1):29-36.

[ Jia S F, Liang Y . Suggestions for strategic allocation of the Yellow River water resources under the new situation[J]. Resources Science, 2020,42(1):29-36.]

[39]
杨伟, 陈沈良, 谷国传 , 等. 黄河三角洲清水沟河口区近期冲淤演变特征[J]. 海洋通报, 2010,29(1):44-51.

[ Yang W, Chen S L, Gu G C , et al. Accretion and erosion characteristics of Qingshuigou lobe of the Yellow River Delta in the near future[J]. Marine Science Bulletin, 2010,29(1):44-51.]

[40]
张世奇 . 新情势下黄河口演变与整治研究思路[J]. 泥沙研究, 2005, ( 3):1-7.

[ Zhang S Q . Study conception on fluvial processes and river regulation under the new environment of flow and sediment in the Yellow River Mouth[J]. Journal of Sediment Research, 2005, ( 3):1-7.]

文章导航

/