美国征收铝产品关税的潜在影响及对策

  • 王婉君 , 1, 2, 3 ,
  • 陈伟强 , 1, 2, 3 ,
  • 汤林彬 1, 2, 3 ,
  • 熊慧 4 ,
  • 刘刚 5 ,
  • 石磊 6
展开
  • 1. 中国科学院城市环境研究所城市环境与健康重点实验室,厦门 361021
  • 2. 中国科学院大学,北京 100049
  • 3. 厦门市城市代谢重点实验室,厦门 361021
  • 4. 北京安泰科信息股份有限公司,北京 100814
  • 5. 南丹麦大学生命周期工程研究中心,欧登塞,5230, 丹麦
  • 6. 清华大学环境学院国家环境保护生态工业重点实验室,北京 100084
通讯作者:陈伟强,E-mail:

作者简介:王婉君,女,河南开封人,博士生,主要从事社会经济系统的物质与元素代谢及全球贸易网络研究。E-mail:

收稿日期: 2018-04-12

  要求修回日期: 2018-06-27

  网络出版日期: 2018-07-20

基金资助

国家自然科学基金面上项目(41671523)

中科院“率先行动百人计划”资助项目

The potential impact of U. S. tariffs on aluminium products and its countermeasures

  • WANG Wanjun , 1, 2, 3 ,
  • CHEN Weiqiang , 1, 2, 3 ,
  • TANG Linbin 1, 2, 3 ,
  • XIONG Hui 4 ,
  • LIU Gang 5 ,
  • SHI Lei 6
Expand
  • 1. Key Lab of Urban Environment and Health, Institute of Urban Environment, Chinese Academy of Sciences, Xiamen 361021, China
  • 2. University of Chinese Academy of Sciences, Beijing 100049, China
  • 3. Xiamen Key Lab of Urban Metabolism, Xiamen 361021, China
  • 4. Beijing Antaike Information Development Co. , Ltd. , Beijing 100814, China
  • 5. Center for Life Cycle Engineering and Department of Chemical Engineering, Biotechnology, and Environmental Technology, University of Southern Denmark, 5230 Odense, Denmark
  • 6. State Environmental Protection Key Laboratory on Eco-industry, School of Environment, Tsinghua University, Beijing 100084, China

Received date: 2018-04-12

  Request revised date: 2018-06-27

  Online published: 2018-07-20

Copyright

《资源科学》编辑部

摘要

2018年初,美国发布了对8种进口铝产品征收10%的从价税的公告,给世界各国特别是中国的铝工业带来诸多潜在影响。本文以该公告中涉及的铝产品为研究对象,分析了美国铝产品的贸易格局,考察了美国征收铝关税的潜在影响,并提出中国的若干应对策略。研究显示:① 造成美国铝贸易逆差的关键产品是能耗和环境负荷高但附加值低的未锻轧铝(铝锭),而在其他7种附加值较高的铝产品中,美国的合计贸易额处于顺差状态,这是由美国自身的产业结构造成的。将造成美国铝产品贸易逆差的责任推给中国及其他国家的做法是荒谬和不负责任的;② 美国征收铝产品关税的真正目的可能是通过缩减进口量来加强国内高附加值铝产品的生产经营能力。存在贸易逆差的铝箔、铝丝和其他铝产品,以及贸易量较大的铝板带对美出口难度将会越来越大;③ 短期看,中国生产铝箔、铝丝、其他铝产品和铝板带的企业将面临较大困难;长期看,铝关税可能仅仅是美国贸易保护政策的开始,中国政府和企业必须做好打持久战的准备。近期,中国应采取有针对性的贸易报复措施,联合其他国家和在此次关税变化中可能受到较大负面影响的美国国内相关产业共同对特朗普政府施压。长期,中国要继续加强产品研发和自主创新能力,加快弥补产业链和技术短板,提高应对国际形势影响中国经济发展的能力。

本文引用格式

王婉君 , 陈伟强 , 汤林彬 , 熊慧 , 刘刚 , 石磊 . 美国征收铝产品关税的潜在影响及对策[J]. 资源科学, 2018 , 40(7) : 1319 -1332 . DOI: 10.18402/resci.2018.07.01

Abstract

In the early 2018, the Trump government announced a 10% levy on eight aluminum products, which will result in significant impacts on many counties, especially China. This paper analyzed the U. S. trade of aluminum products and the potential impacts of this tariff policy, and further attempted to propose several strategies for China. The study demonstrates that: (1) Unwrought aluminum (which is energy and emissions intensive and low value-added) is the main product resulting in the trade deficit in the United States aluminum industry. However, U. S. has trade surplus in the total trade of the other seven aluminum products. It is thus the production capacity of the United States itself rather than that of China that resulted in U. S. trade deficit of aluminum products. It would be absurd and irresponsible to push China and other countries to blame for the trade deficit with the US aluminium product. (2) The real purpose of Trump’s aluminum tariff is probably to improve the production capacity and to impose trade protection of high value-added aluminum products, such as aluminum foil, aluminum wire, other aluminum products and aluminum plate and strip. (3) In the short term, Chinese enterprises that produce aluminum foil, aluminum wire, other aluminum products, and aluminum plate, strip, and foil will face great difficulties. In the long term, Aluminum tariffs may just be the beginning of the U. S. trade protection policy. The Chinese government and enterprises should prepare for a probably long trade conflict. In the short time, trade retaliation measures should be taken, and it is necessary to develop collaboration with countries, international organizations, and industries in the U. S. that may suffer losses from the Trump’s tariff policy. In the long run, Chinese aluminum industry should strengthen its product development capacity and its independent innovation ability, as well as to enhance its industrial chain and technology so as to reduce the potential negative influence of the changing international trade policies and situation.

1 引言

2017年4月20日,美国商务部宣布就进口铝产品是否威胁和损害美国国家安全的问题启动232调查1)(1) 232调查:美国商务部根据修订的1962年《贸易扩展法》第232条款,对特定进口商品是否威胁美国国家安全进行的调查。截至2017年,美国商务部共开展了14次232调查。)。2018年1月11日,美国商务部长威尔伯·罗斯正式向特朗普提交了关于铝工业的232调查报告,并于2月16日对外发布了这份报告[1]。该报告认为美国过于依赖进口铝产品,已对美国的国家安全造成较大威胁,并将美国铝工业面临困境的责任推给中国,认为是中国的铝工业产能过剩和不公平的贸易保护政策造成了美国铝工业的衰落。
2018年3月8日,美国总统特朗普签署关税声明[2](下称特朗普关税声明):宣布自美国东部时间2018年3月23日12点01分起,对除加拿大和墨西哥以外所有国家的进口或退回的铝产品征收10%的从价税;位于美国国内的受影响当事人可提出免除请求,并给出了申请关税豁免的途径[3]。经过半个月的磋商,3月22日,美国宣布暂停对欧盟、加拿大、墨西哥、阿根廷、澳大利亚、巴西以及韩国收取铝关税[4]。而来自其他国家的铝产品均需缴纳10%的进口税。4月30日,美国宣布阿根廷、澳大利亚、韩国和巴西获得永久豁免权,而欧盟、加拿大、墨西哥的关税豁免仅延长至2018年6月1日[5]。这份关税声明所涉及的铝产品名称和海关编码(Harmonized System, HS)为:
(1)未锻轧铝(7601);
(2)铝条、杆、型材及异型材(7604);
(3)铝丝(7605);
(4)铝板、片、带(7606);
(5)铝箔(7607);
(6)铝管(7608);
(7)铝制管子附件(7609)
(8)铝铸件和锻件(7616.99.51.60和7616.99. 51.70)。
事实上,铝的开采、冶炼、加工、使用及废弃回收等生命周期各阶段(图1)均会产生可参与国际贸易的含铝产品(表1)。从数量上看,美国关税声明所涉及的铝产品仅占进出口贸易中所有含铝产品的一小部分。从重量上看,1996—2009年间,这8种产品所含铝的净进口量仅占美国金属铝净进口量的32%[6]。从用途上看,除未锻轧铝外,其余产品均为半成品铝,是建筑结构、交通运输、包装容器、电力电子、耐用消费、机械装备等产业的重要原材料。随着汽车、高铁、城铁、航空航天等产品的逐步轻量化,越来越多的金属铝被应用于附加值高的产品和新的应用领域。因此,这8种铝产品是国家经济发展和社会文明进步的重要支撑材料。
Figure 1 The whole life cycle of aluminum in an socioeconomic system

图1 铝在社会经济系统中的全生命周期流动过程

Table 1 Aluminum product catalog in the international trade

表1 国际贸易中的含铝产品目录[7]

海关编码(H0) 产品名称 海关编码(H0) 产品名称
26章 7614 非绝缘的铝制绞股线、缆、编带及类似品
260600 铝矿砂及其精矿 7615 家用铝器具及其零件等;铝制卫生器具及零件
262040 含铝矿灰及残渣 7616 其他铝制品
28章 82章 贱金属工具、器具、利口器、餐匙、餐叉及其零件
281820 氧化铝 83章 贱金属杂项制品
281830 氢氧化铝 84章 核反应堆、锅炉、机器、机械器具及其零件
76章 85章 电机、电气设备及其零件;录音机及放声机、电视图像、声音的录制和重放设备及其零件、附件
7601 未锻轧铝 86章 铁道及电车道机车、车辆及其零件;铁道及电车道轨道固定装置及其零件、附件;各种机械(包括电动机械)交通信号设备
7602 铝废碎料 87章 车辆及其零件、附件,但铁道及电车道车辆除外
7603 铝粉及片状粉末 88章 航空器、航天器及其零件
7604 铝条、杆、型材及异型材 89章 船舶及浮动结构体
7605 铝丝 90章 光学、照相、电影、计量、检验、医疗或外科用仪器及设备、精密仪器及设备;上述物品的零件、附件
7606 铝板、片及带 91章 钟表及其零件
7607 铝箔 92章 乐器及其零件、附件
7608 铝管 93章 武器、弹药及其零件、附件
7609 铝制管子附件 94章 家具;寝具,褥垫、弹簧床垫、软坐垫及类似的填充制品;未列明灯具及照明装置;发光标志、发光铭牌及类似物;活动房屋
7610 铝制结构体及其部件和其所用的已加工铝材 95章 玩具、游戏品、运动用品及其零件、附件
7611 铝制槽、罐、桶等容器,容积超过300升 96章 杂项制品
7612 铝制槽、罐、桶等容器,容积不超过300升 97章 艺术品、收藏品及古物
7613 装压缩气体或液化气体用的铝制容器
美国宣布征收铝关税引起了世界各国政府和企业的密切关注。不少报纸和杂志刊登了评论性文章[8,9,10,11],认为美国此举对世界各国乃至美国自身都将产生不小的影响,主要有两点:
(1)对他国而言,美国是世界第一大市场,其铝产品进口额占世界铝产品进口总额的13.1%;美国征收铝产品关税会对世界铝产品市场造成极大的冲击,进而损害世界各国的利益;更重要的是,虽然这些举措并不都明确指向中国,但事实上,中国已被美国视作最大的对手,可能遭受最大的阻击。
(2)对美国来说,征收关税虽然对美国部分铝工业企业是一大利好,但也将引起铝工业下游企业(例如汽车制造、包装制造、能源等行业企业)的成本上涨。因此,此举终将损害美国自身的经济和消费者的利益。但目前关于美国铝关税的文章多为评论性文章,定性分析多,定量分析少,其分析结果易受主观因素干扰。
此外,目前政府和企业最为关心的问题主要有5个:
(1)美国的铝产品贸易现状究竟如何?是什么原因造成美国铝产品贸易逆差?
(2)美国征收铝关税对世界各国尤其是中国的潜在影响有多大?
(3)征收铝产品关税对美国自身有何影响?
(4)美国为什么要对部分国家的铝产品关税进行至少是短期的豁免?
(5)中国政府和企业应如何应对美国的这项贸易保护政策?
但多数文章仅就其中一个问题展开分析,缺乏对这一事件的全面认识。鉴于此,本文将采用定量分析方法,以美国铝关税声明中涉及的铝产品为对象,在分析美国铝产品贸易现状的基础上,研究美国铝关税对世界各国(尤其是中国)和美国自身可能产生的影响,并在此基础上提出中国的应对策略,以期给国家和企业以决策支持。

2 研究方法与数据来源

本文基于联合国商品贸易统计数据库(UN Comtrade Database)[7],以2012—2016年的美国为时空边界,以特朗普关税声明中涉及的8种铝产品为研究对象,分析美国铝产品的进出口情况。为方便计算,编号为7616.99.51.60(其他铝制品:铸件)和7616.99.51.70(其他铝制品:锻件)用761699代替,即其他铝制品。
在此基础上,本文选取了对美出口额占比排名前20的国家,分析主要进口来源地与美国的贸易互动关系,以分析铝产品关税对这些经济体的潜在影响程度。为此,本文提出3个评价指标,分别为进口依赖度、市场依赖度和相对依赖度,其计算方法如下:
进口依赖度 = 美国自某经济体进口的铝产品总额 美国铝产品进口总额 (1)
市场依赖度 = 某经济体对美国出口铝产品总额 该经济体铝产品出口总额 (2)
相对依赖度 = 进口依赖度 市场依赖度 (3)
进口依赖度代表了美国对该经济体铝产品的进口依赖程度,越高说明美国对该经济体铝产品的依赖程度越大;市场依赖度表征了该经济体对美国市场的依赖程度,越高说明该经济体对美国市场的依赖程度越大;相对依赖度表征了美国与该经济体的力量对比关系,大于100%时,美国对该经济体的依赖程度高于该经济体对美国的依赖程度,说明该经济体在美国实施关税后有较高的谈判能力和应变能力,且指标越大说明谈判能力和应变能力越强,受美国关税政策影响越小;反之,该经济体对美国有较高的依赖程度,在谈判中可能处于被动状态,且指标越小说明该经济体越被动,越易受到美国关税的影响。该指标越接近100%,说明双方的力量越接近。
根据多数铝产品的进口依赖度或市场依赖度是否高于10%以及相对依赖度是否大于100%将经济体划分成三类,并从铝产品层面分析铝关税对各国的影响。其分类如下:
(1)相互依赖,美国不占优(进口依赖度≥10%或市场依赖度≥10%,相对依赖度≥100%)。
(2)相互依赖,美国占优(进口依赖度≥10%或市场依赖度≥10%,相对依赖度≤100%)。
(3)不相互依赖(进口依赖度<10%,市场依赖度<10%)。
为考察铝关税对美国国内的潜在影响,本文以美国铝产品市场为研究对象,基于美国铝产品产能、表观消费量以及美国铝物质流等历史数据,分析美国国内铝产品的供需情况以及铝相关产业的关联情况。
中国铝产品对美出口额的月度数据来自“国研网对外贸易统计数据库”[12]。各产品的平均价格为各产品贸易额和贸易量的比值。各国GDP数据来自国际货币基金组织世界经济展望数据库(World Economic Outlook Databases ,WEO)[13]。美国铝产品产能和表观消费量数据来自232调查报告[1]。美国铝物质流数据来自陈伟强等的研究成果[14]

3 美国铝产品的贸易格局分析

根据232调查报告以及特朗普关税声明,征收铝产品关税的主要目的在于缩小铝产品贸易逆差,保护国内铝工业,保障国家安全。因此,本文首先从美国铝产品进出口现状入手,分析美国铝市场存在贸易逆差的原因。
图2可知,美国铝产品市场的确存在较大的贸易逆差,且随着进口额的快速增加,这一贸易逆差正逐步增大,2016年达到了60.6亿美元。但分产品来看(图3),几乎所有的贸易逆差都来自未锻轧铝(72.1亿美元),其次是铝箔(4.7亿美元)和铝丝(4.6亿美元),其他铝产品的贸易逆差较小,而铝制管子附件、铝管、铝板带和铝条杆型材则存在贸易顺差。实际上,除未锻轧铝外,其他7种产品的总贸易额是处于顺差状态的。
Figure 2 U.S. trade (monetary value) of aluminum products from 2012 to 2016

图2 2012—2016年美国铝产品进出口贸易额

Figure 3 U.S. trade (monetary value) of individual aluminum products in 2016

图3 2016年分单品美国铝产品进出口贸易额

美国未锻轧铝过度依赖进口是美国进出口贸易逆差较大的根本原因。未锻轧铝是高耗能、高污染负荷和低附加值产品,属于铝工业的初级产品,是生产其他7种产品的原料,在8种产品中价格最低,附加值最小(图4)。事实上,美国曾经是全球最大的电解铝生产国,随着劳动力成本和环保压力的不断增加,其电解铝产能才逐步向其他国家转移且未锻轧铝的产量不断下降[6],同时导致对进口未锻轧铝的依赖度持续上升。由此可见,美国过度依赖进口未锻轧铝是由其产业结构造成的,并不是232调查报告所宣称的由中国造成。而且大量进口未锻轧铝实际上极大地缓解了美国自身的能源和环保压力。
Figure 4 U.S. average import and export price of individual aluminum products in 2016

图4 2016年美国8种铝产品的平均进出口价格

由于以上原因,美国通过缩减未锻轧铝贸易逆差来扭转整体铝产品贸易逆差的局面是不现实的。相比而言,通过缩减其他7种产品的进口额来缩小贸易逆差是一个较为现实的方法。因此,存在贸易逆差的铝箔、铝丝和其他铝产品,以及贸易量较大的铝板带很可能成为重点关注产品。这些产品的对美出口难度会越来越大。

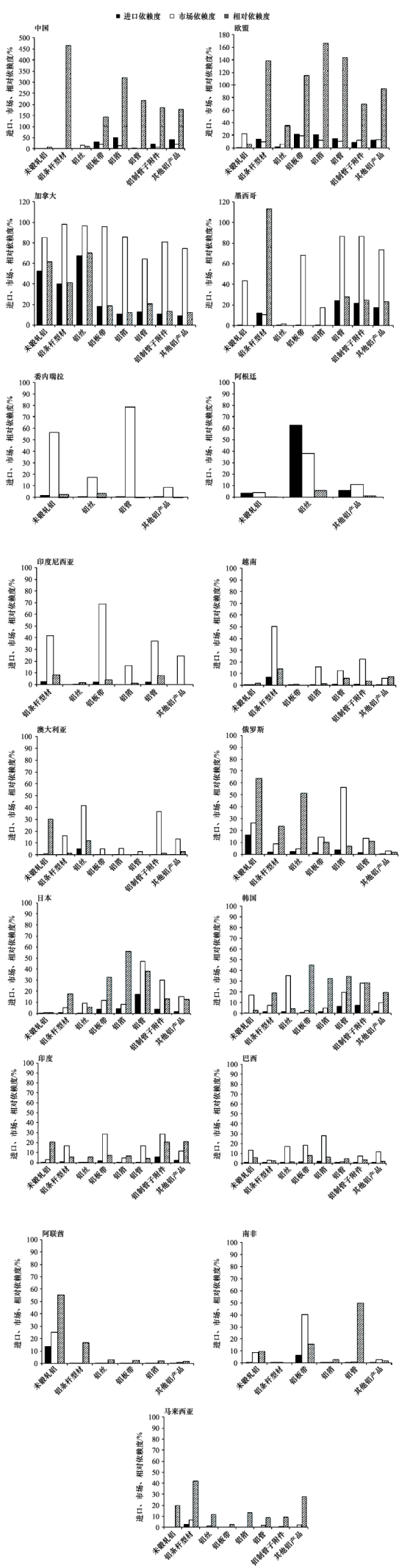
4 美国铝产品主要进口来源地分析

4.1 主要进口来源地及其依赖度

图5展示了排名前20位的美国铝产品进口来源地。美国有96.97%的进口铝产品由这20个经济体提供,其中加拿大(38.5%)、中国(13.8%)、俄罗斯(9.1%)、欧盟(9.0%)和阿联酋(7.5%)的份额最大,是美国最重要的铝资源和铝产品来源地,且有12个经济体的份额超过1%。在这20个经济体中,加拿大对美国的市场依赖度最高,为86.4%,其次是阿根廷(57.3%)、委内瑞拉(51.0%)、印度尼西亚(34.7%)和墨西哥(31.7%),有15个来源地的市场依赖度超过10%。从相对依赖度看,只有中国的相对依赖度大于100%,为100.06%,其他地区均小于100%,表明相比其他经济体,若无专门针对中国的倾向性政策,中国有较高的谈判能力和应变弹性。相对依赖度最低的5个国家是委内瑞拉(1.5%)、印度尼西亚(2.1%)、越南(2.6%)、阿根廷(4.1%)和巴西(5.5%)。这5个国家对美国的依赖度极高,且未豁免铝关税。美国征收铝关税对这些国家铝工业的影响较大。
Figure 5 The main countries exporting aluminum to the United States in 2016

图5 2016年美国铝产品主要进口来源地

从潜在经济影响的角度来看,各国对美国铝产品的出口额占其各自GDP的比例大约为0.004%~1.280%。占比最高的是巴林(1.280%)、加拿大(0.377%)、阿联酋(0.322%)和卡塔尔(0.197%),澳大利亚(0.004%)、日本(0.004%)、巴西(0.006%)和印度(0.007%)的占比最低。中国的对美铝产品出口额占GDP比例为0.019%。
有15个经济体的市场依赖度高于10%,且美国铝产品进口市场占到其全球市场的13.1%,因此美国征收铝产品关税势必会对这些经济体造成较大的冲击,并使得这些国家的产能需要重新寻找市场,这将增加爆发全球贸易战的风险。中国虽然是美国铝产品的第二大进口来源国,但对美国市场依赖程度不高(仅排名第13位),且对美国的出口额占GDP的比例不高。但美国是中国第二大的铝产品出口目的地,年出口额超过20亿美元。随着铝工业产能的进一步相对过剩,短期内,中国铝工业企业仍会受到较大影响。委内瑞拉、印度尼西亚、越南、阿根廷和巴西的相对依赖度极低,均低于6%,若无豁免机会,这些国家将遭受最大的打击。加拿大和墨西哥对美国市场依赖度较高,虽然得到了豁免机会,但很可能需要在北美贸易协定的谈判中做出较大让步。

4.2 主要进口来源地的分产品贸易情况

图6展示了各主要来源地8种产品的依赖度。由于卡塔尔、沙特和巴林对美出口铝产品种类较少且数据不完整,本节仅分析其余17个经济体。
Figure 6 Trade of individual aluminum products from major sourcing countries

图6 主要进口来源国分产品贸易情况

17个地区中,只有中国和欧盟属于第一类即相互依赖,美国不占优。首先分析中国。8种产品中,铝条杆型材和铝管的相对依赖度较高,分别为459.7%和217.2%,且市场依赖度较低,分别为0.8%和1.9%。因此,这两种产品相对较为安全。未锻轧铝和铝丝的相对依赖度较低,分别为11.5%和13.6%。但由于未锻轧铝市场依赖度同样较低,为0.7%,且中国对未锻轧铝实施了15%的出口关税,不鼓励未锻轧铝出口,因此生产未锻轧铝企业不会受到很大影响。铝丝的市场依赖度为17.0%,在8种产品中排名第三,铝丝出口可能会面临困境。其他铝产品、铝板带、铝箔和铝制管子附件的相对依赖度较高,分别为179.1%、143.1%、317.3%和186.5%,但市场依赖度也较高,分别为23.3%、22.4%、16.2%和11.3%。且美国是这四种铝产品的主要消费国,进口额分别占到世界进口总额的11.9%、10.3%、9.2%和12.2%。因此,这4种产品可能面临较大的谈判压力。更重要的是,铝箔、铝丝、其他铝产品和铝板带是美国重点关注的铝产品。美国有较大动力在这4种产品上限制中国。
事实上,中国对美国的市场依赖度较低正是美国长期以来限制中国铝产品进口的结果。自2010年以来,美国先后开展了针对铝条杆型材(2010年)、铝箔(2017年)和铝板带(2017年)的“双反”调查。以铝箔为例,近年来中国出口到美国的铝箔已呈明显下降的趋势,出口额从2017年1月的4570万美元下降至2018年1月的1890万美元(图7)。
Figure 7 U.S. import of individual aluminum products from China from Jan. 2017 to Jan. 2018

图7 2017年1月—2018年1月中国铝产品对美出口额

欧盟有4种产品的相对依赖度大于100%,分别为铝箔(166.8%)、铝管(144.1%)、铝条杆型材(138.8%)和铝板带(115.5%)。未锻轧铝的相对依赖度最低(8%),其次是铝丝(36.4%)、铝制管子附件(71.1%)和其他铝产品(94.9%)。除未锻轧铝和铝丝外,欧盟各产品的相对依赖度均低于中国。且除铝丝外,其余产品的市场依赖度均大于10%。因此,铝关税的实施仍将给欧盟的铝工业带来一定的负面影响。考虑到美国已暂停对欧盟征收铝关税,短时期内,该举措对欧盟铝工业企业的影响应该 不大。
加拿大、墨西哥、委内瑞拉、阿根廷、印度尼西亚、越南、俄罗斯、澳大利亚、日本、韩国、印度和巴西属于第二类,即相互依赖,美国占优。加拿大的市场依赖度最大,各产品均超过60%。墨西哥有4种产品的市场依赖度超过60%,分别为铝制管子附件、铝管、其他铝产品和铝板带。加拿大和墨西哥对美国市场的依赖度最大,但因为可获得关税豁免,故不会对铝产品出口贸易造成大的干扰。但可以预见,为获得铝关税豁免,加拿大和墨西哥需在其他地方做出较大让步。委内瑞拉的未锻轧铝和铝管,阿根廷的未锻轧铝和铝丝,印度尼西亚的铝板带、铝条杆型材、铝管和其他铝产品,越南的铝条杆型材和铝制管子附件,澳大利亚的铝丝和铝制管子附件,俄罗斯的铝箔的进口依赖度低(<7%)而市场依赖度高(>20%)。除澳大利亚和阿根廷已暂时获得关税豁免外,其余国家的相关企业将受到较大影响。相比而言,日本、韩国、印度和巴西也有部分产品的进口依赖度低而市场依赖度高,但差距较小,受到的影响相对较小。
阿联酋、南非和马来西亚属于第三类,即不相互依赖。从图中可知,这些国家多数铝产品的进口依赖度和市场依赖度均较低,受到的影响较小。相比之下,阿联酋的未锻轧铝和南非的铝板带的市场依赖度较高,生产相关产品的企业会受到些许影响。

5 美国铝产品市场供求分析

表2对比了美国2016年的产能、消费量和进口量。从表中可知,美国铝产品产能远低于表观消费量。尤其是未锻轧铝,缺口达到了242.1万t。这就是说即使美国铝工业恢复现有产能,也无法满足国内下游企业的需要。如前所述,美国已经宣布暂停征收阿根廷、澳大利亚、巴西等7个经济体的铝关税。但从表中可知,已豁免的铝产品进口量仍不能满足美国下游企业的需要,多数铝产品的供给缺口在30万t以上。
Table 2 Production, consumption and imports of aluminum products in the United States in 2016 (万t)

表2 2016年美国铝产品生产、消费及进口情况

美国产能 表观消费量 产能-消费差额 已豁免的贸易量 供给缺口
未锻轧铝 174.0 416.1 -242.1 153.0 -89.2
铝条杆型材 183.5 222.0 -38.5 6.0 -32.5
铝丝 44.5 90.8 -46.3 4.5 -41.8
铝板带和铝箔 473.5 416.1 57.4 58.7 116.1
铝管 43.4 102.0 -58.6 1.1 -57.5
铝制管子附件 - - - 0.3 -
其他铝产品 - - - 7.9 -
由此可得出两个结论:
(1)美国暂停征收部分地区铝关税的真正原因在于国内产能不足,无法支撑下游企业的生产经营需要。通过暂停征收部分关税,美国一方面可以给国内铝工业的发展留足时间,降低征税对下游企业的影响;另一方面可以稳定盟友关系,并以此获取其他方面的利益。更重要的是,通过豁免关税,美国可以精准打击中国等非盟友国家。
(2)美国国内产量和已豁免的铝产品进口量仍不能满足美国下游企业的需要,且国内产能扩张需要时间,这就意味着短期内必然有部分进口铝产品被征收关税。下游企业的生产成本必将上升。
根据以上分析可知,在短期,美国国内铝工业产能严重不足,阿根廷、澳大利亚等地区可豁免此项关税,但谈判力较弱的盟友很可能要在其他方面做出让步。长期看,随着美国铝工业产能扩张,下游企业需求被逐步满足,部分暂停豁免的地区可能会重新征税。
虽然特朗普宣称对所有国家征税,但从已公布的豁免名单和232调查报告看,征税的主要对象显然是中国。美国已将中国视为主要竞争对手,极有可能继续制造冲突点,围追堵截中国企业。对中国来说,此次铝关税可能只是一个开始,政府和企业必须要做好打持久战的准备。必须制定合理的政策以应对此类事件,防止由此带来的短期的企业经营困难和长期的投资流失以及失业问题。此外,中国应该利用此次机会加强与其他国家的沟通与合作,共同抵制美国的贸易保护行径,携手度过此次危机。

6 铝关税对美国各产业的潜在影响

铝是应用极为广泛的金属,几乎所有产业均需生产或使用含铝产品[15],全世界的铝制品已达80多万种[16]。因此,铝产品价格变动对美国经济的整体运转有较大影响。图8展现了2007年金属铝在美国各行业间的流动情况,图中线的粗细代表了铝流量的大小。由图8可知,美国的铝原材料主要来自进口,征收铝关税会提高美国铝产品的使用价格。更重要的是,现代经济分工较细,产业与产业之间联系紧密。一种基础材料价格的上涨会引起多个产业成本的上涨。因此,铝原材料价格上涨会通过金属冶炼与压延加工、金属产品制造、电子、电力等产业传到汽车制造、食品饮料加工、机械设备制造、其他交通工具制造以及家具制造等产业。而这些产业所生产的含铝产品正是纺织服装、家具家电、建筑等部门的生产资料。铝产品价格上涨很可能带动这些产业的产品价格上涨。由图8可知,美国生产的含铝消费品主要供应其本国市场,且涉及交通、建筑、家具家电、电力等全方位多种产品。这就是说,金属铝价格上涨带来的消费品价格上涨最终会由美国的消费者买单,并削弱美国消费品在国际市场上的竞争力。铝产品价格的上涨将最终损害美国经济,提高美国消费者的生活成本。
Figure 8 Aluminum flows in U.S. economic system in 2007

图8 2007年金属铝在美国经济系统中的流动情况[14]

更重要的是,越是处于产业链下游,该行业生产产品所含金属铝的量越大,因此上游行业产品价格上涨所带来的负面影响会在下游行业富集。以金属铝用量最大的汽车制造业为例,如图9所示。该图展现了汽车制造产业链的金属铝使用情况。可以看到这一产业链涉及23个行业的产品,而含铝量最大的是位于终端的轻型卡车及越野车、轿车和重型卡车。这势必会提高美产汽车的价格[17],削弱汽车产业的竞争力。这就是说,美国为了振兴本国铝工业所做的努力很可能给下游,尤其是终端产业带来问题。目前已有研究显示,钢铝关税将令美国钢铁和铝业增加3万个就业岗位,同时使其他行业损失18万个工作岗位[18]
Figure 9 Aluminum flows in U.S. automobile supply chain in 2007

图9 2007年美国汽车制造产业链的金属铝流动情况[14]

当然,铝关税对美国其他产业的影响有多大,是否会超过铝工业收益的增加,需要更为详细的数据和进一步的分析。仅从图中可以看到,受到铝关税影响的产业是非常多的,关税实施很可能面临较大阻力。需要注意的是,铝关税对下游产业的负面影响需要一定时间才能显露出来。短期内征税对其他经济体的影响很可能高于对美国自身的影响。因此,其他经济体和企业仍需积极应对。在长期,如果这项政策并未达到原有目的却带来了越来越多的负面影响,今后美国可能就会更加谨慎地制定类似的贸易保护政策。

7 结论与建议

7.1 结论

(1)未锻轧铝产能不足是美国依赖进口铝且存在较大贸易逆差的主要原因。由于美国的劳动力成本和环保压力较大,美国铝工业企业已经将很大一部分产能转移至国外。因此,美国过度依赖进口铝是由其产业结构造成的,而不是232调查报告所述的是由于中国对铝工业的扶持政策。美国不应将铝工业面临问题的责任推给中国。
(2)除未锻轧铝外,美国其余7种铝产品的合计贸易额处于顺差状态。但美国对8种铝产品均征税,其实质是希望通过缩减进口量来加强国内高附加值铝产品的生产经营能力,尤其是存在贸易逆差的铝箔、铝丝和其他铝产品以及贸易量较大的铝板带。这些产品的对美进口难度会越来越大。
(3)美国暂停征收加拿大、墨西哥、欧盟等国家关税的真正原因是国内产能不能满足下游企业需要。通过豁免政策,美国可以给本国企业留足进一步发展壮大的时间,也可以以此为条件迫使这些国家在其他方面做出让步。
(4)美国铝产品进口额占到全球铝产品总进口额的13.1%。征收关税会造成世界铝工业产能的进一步相对过剩,对各国铝产品出口均有影响。
(5)短期内,中国铝工业将受到较大影响,特别是是生产铝箔、铝丝和其他铝产品的企业会面临较大困难。但从长期看,随着贸易保护主义不断抬头,美国很可能会制定更多的贸易保护政策以遏制中国。因此,铝关税可能只是一个开始,中国政府和企业必须做好打持久战的准备,不能掉以轻心,要制定合理的政策以应对此类事件。
(6)对加拿大、墨西哥、欧盟等国家来说,短时间内,由于暂停征收铝关税,这些国家的铝工业不会遭受较大影响。但随着美国贸易保护政策的不断深入以及国内铝工业产能的不断提升,长远来看,部分国家与美国的冲突可能难以避免。
(7)委内瑞拉、印度尼西亚、越南、阿根廷和巴西等小国对美国市场依赖度较高,抗风险能力较弱,势必会在此次事件中遭受较大损失。
(8)征收铝关税对美国铝工业企业是一大利好。但由于铝的应用极为广泛,几乎所有产业均涉及铝产品,且美国对进口铝产品进口依赖度极高,征收铝产品关税会削弱美国几乎所有产业的竞争力,并最终提高美国居民的生活成本。但这些负面影响还需要一定时间才能显露出来,其他经济体和企业仍要集中精力应对短期内关税上涨的不利影响。

7.2 建议

中国是美国征收铝关税的主要对象。中国政府和企业应做好充分准备应对美国的贸易保护措施,建议如下:
(1)应采用有针对性的贸易报复措施,刺激征收铝关税对美国国内各产业的负面影响,尤其是与美国共和党联系紧密的产业,利用美国国内产业间的利益差异迫使美国放弃此类贸易保护政策。
(2)应联合其他国家及国际组织共同应对,包括加拿大、墨西哥、欧盟等未获得永久豁免的国家,委内瑞拉、阿根廷等可能受到较大损失的国家,以及联合国、WTO、OECD等国际组织。尤其是要团结“一带一路”国家,以应对美国贸易保护主义为契机,加强与这些国家的沟通与合作。
(3)要继续加强中国自身的产品研发和自主创新能力,鼓励企业向产业链下游和高附加值环节转移;加快弥补国内产业链和技术短板,做好与美国打持久战的准备。
(4)对中国企业来说,在短期,企业应加大开辟新市场的力度,摆脱对单一市场的依赖,减轻各国贸易政策对企业生产经营的影响。在长期,企业应注重研发和质量控制,在产品技术和品质上下功夫。

The authors have declared that no competing interests exist.

[1]
BIS. The Effect of Imports of Aluminum on the National Security[M]. Washington: U. S. Department of Commerce Bureau of Industry and Security Office of Technology Evaluation, 2018.

[2]
Trump D J. Presidential Proclamation on Adjusting Imports of Aluminum into the United States [EB/OL]. (2018-03-08)[2018-03-22].

[3]
BIS. Section 232 National Security Investigation of Aluminum Imports Information on the Exclusion and Objection Process [EB/OL]. (2018-03-23)[2018-03-23].

[4]
Trump D J. Presidential Proclamation Adjusting Imports of Aluminum into the United States [EB/OL]. (2018-03-22)[2018-03-22].

[5]
Trump D J. Presidential Proclamation Adjusting Imports of Aluminum into the United States [EB/OL]. (2018-04-30)[2018-04-30].

[6]
Chen W Q, Graedel T E.Dynamic analysis of aluminum stocks and flows in the United States: 1900-2009[J]. Ecological Economics, 2012, 81(5): 92-102.

[7]
United Nations Department of Economic and Social Affairs Statistics Division. UN Comtrade Database[EB/OL]. (2018-03-03)[2018-04-12].

[8]
冯迪凡. 美欲对进口钢铝征重税盟友扬言反制, 本国企业遭殃[EB/OL]. (2018-02-22)[2018-04-22].

[Feng D F. American Companies Have Suffered as America Threatened to Retaliate by Imposing a Heavy Tax on Imports of Steel and Aluminium[EB/OL]. (2018-02-22)[2018-04-22].

[9]
项梦曦. 特朗普关税计划引股市恐慌[EB/OL]. (2018-03-03)[2018-04-22].

[Xinag M X. The Trump Tariff Plan Has Rattled Stocks[EB/OL]. (2018-03-03)[2018-04-22].

[10]
吴乐珺, 任彦, 陈尚文, 等. 一旦发生贸易战, 将不会有赢家[EB/OL]. (2018-03-22)[2018-04-22].

[Wu L J, Ren Y, Chen S W, et al. In the Event of a Trade War, There Will Be No Winner[EB/OL]. (2018-03-22)[2018-04-22].

[11]
Lynch D J, Rucker P, Werner E. Trump Imposes Tariffs on Steel and Aluminum, but Offers Relief to Allies[EB/OL]. (2018-03-08)[2018-04-12].

[12]
国务院发展研究中心. 国研网对外贸易统计数据库[EB/OL]. (2018-04-22)[2018-05-13].

[Development Research Center of the State Council. DRCNET Statistical Database System[EB/OL]. (2018-04-22)[2018-05-13].

[13]
IMF. World Economic Outlook Database[EB/OL]. (2018-04-01)[2018-04-22].

[14]
Chen W Q, Graedel T E, Nuss P, et al. Building the material flow networks of aluminum in the 2007 U. S. economy[J]. Environmental Science & Technology, 2016, 50(7): 3905-3912.

[15]
陈伟强, 石磊, 钱易. 国家尺度上铝的社会流动过程解析[J]. 资源科学, 2008, 30(7): 1004-1012.

[Chen W Q, Shi L, Qian Y.Description of anthropogenic aluminum cycels[J]. Resources Science, 2008, 30(7): 1004-1012. ]

[16]
王祝堂, 田荣. 铝合金及其加工手册 [M]. 长沙: 中南大学出版社, 2005.

[Wang Z T, Tian R.The Handbook of Aluminum Alloys and Their Processing[M]. Changsha: Central South University Press, 2005. ]

[17]
Stoll J D, Colias M. Steel, Aluminum Tariffs Could Raise Car Prices by $300 [EB/OL]. (2018-03-12)[2018-04-22].

[18]
金旼旼, 江宇娟. 研究显示钢铝关税将令美国损失十几万工作岗位 [EB/OL]. (2018-03-07)[2018-04-22].

[Jin W W, Jiang Y J. Research Shows that Steel and Alunimun Tariffs will Cost the United States More Than Tens of Thousands of Jobs[EB/OL]. (2018-03-07)[2018-04-22].

文章导航

/