Strategy of China’s investment in Arctic Passage development based on Stackelberg game theory

  • PAN Changhong , 1 ,
  • LI Zhenfu 2 ,
  • SUN Dongshi 1
Expand
  • 1. College of Information and Business Management, Dalian Neusoft University of Informatica, Dalian 116023, China
  • 2. College of Transportation Management Dalian Maritime University, Dalian 116026, China

Received date: 2020-05-08

  Request revised date: 2020-09-18

  Online published: 2021-01-25

Abstract

In the context of the construction of the Silk Road on the Ice, the use of the Arctic Passage is of great significance for the development of China’s international trade. Considering China and Russia’s joint development of the Arctic Passage, this study examined how China can use its capital advantage to invest in port development along the route to obtain long-term stable returns. Using Stackelberg game theory, an independent game model between China and Russia and a mixed game model when other investment countries are involved were established. Representative ports were selected for evaluation using data envelopment analysis (DEA), and data were collected for empirical research. The following conclusions are drawn: (1) Port operating costs are a key factor that affect the final profit. When investing, it is necessary to reduce operating costs through intelligent equipment and information platforms. When multiple countries are involved in investment, China should strive for early-start advantages or choose to form an investment alliance instead of engaging in price wars by reducing returns; (2) Port investment strategy must ensure that port development level matches port development potentialport development level too high and too low both will affect the return on investment. Through the effectiveness evaluation of DEA, we can identify the shortcomings of the existing development level and make targeted adjustments. Ports that cannot be adjusted for facilities due to political reasons are not regarded as priority investment objects; (3) When the investment amount increases from a low level, it will bring a decline in income. Joint investment is an effective means to solve this problem. The total scale of investment ports affects returns. It is necessary to balance port upgrading difficulty and the total scale of ports. Priority should be given to large-scale port clusters with lower upgrading difficulty, rather than to individual ports that are difficult to upgrade and have a higher degree of modernization.

Cite this article

PAN Changhong , LI Zhenfu , SUN Dongshi . Strategy of China’s investment in Arctic Passage development based on Stackelberg game theory[J]. Resources Science, 2020 , 42(11) : 2106 -2118 . DOI: 10.18402/resci.2020.11.05

1 引言

2017年,中国积极回应俄罗斯共同开发北极航道的邀请,联手打造“冰上丝绸之路”,该战略决策必将开启欧亚大陆互通互联的新纪元。北极航道由东北航道和西北航道组成。综合通航条件和航道商业化利用进程考虑,东北航道都是优于西北航道的[1],本文中提及的中国投资的北极航道也特指东北航道。东北航道大部分航段位于俄罗斯北部沿海的北冰洋离岸海域(图1),据《纽约时报》的观点,俄罗斯希望东北航道在开航期可以与苏伊士运河形成竞争,但目前俄罗斯国内资本不足以支撑东北航道的建设,故而对国际资本投资持开放性态度。
图1 北极航道示意图

Figure 1 Schematic diagram of the Arctic Passage

中国参与北极航道的开发并获得未来北极航道的使用权和相关服务,将大大降低从中国至欧洲的海运成本,使中国北方地区的对外贸易获得新的动能,加强中国与大北极交通网络的连接[2]。同时,随着中国资本的注入,中俄之间的市场环境和合作机制也会逐渐走向健全,中国在双边贸易中的地位将会得到提高[3]。北极航道开发后中国也将获得石油、天然气等重要能源的新的供给渠道[4]
目前,中俄双方共同认可的北极航道的联合开发路径之一是对航道沿线港口的升级。与中国目前的“一带一路”建设不同,中国在与老牌科技强国俄罗斯进行北极航道合作开发中的角色有了巨大的变化。中国不再拥有“一带一路”建设中的技术优势,仅在资本注入方面具有优势。俄罗斯对境内北极东北航道主要航段的主权管辖完备,将其视为抵御西方围堵、维护国家安全、拓展战略空间的重要战略通道,中国在投资中的要求跟俄罗斯对北极航道的保护存在着较多的分歧点。俄罗斯在北极航道的港口基础设施升级、航道疏通和安全保障、航道外延地区的能源开发和相关产业的联动发展中有诸多的诉求,中国在投资时不能完全按照俄罗斯的意愿进行。需要明确投资的目的,进行科学的规划,以保证投资回报的稳定。另外,还需要考虑其他国家对北极航道投资的潜在可能性,以保证在复杂的国家战略角力中获得优势。综上,中国投资北极航道沿线港口开发的策略主要需要考虑的主要问题包括:第一,在投资后中国需要取得哪些权益?第二,在后续的运营过程中,如何才能保证中国长期收益的最大化?第三,在资金有限的情况下,集中投资某一港口还是分散投资港口群,投资港口又该如何选择?最后,如果有其他国家参与投资,中国的投资策略会发生什么变化?本文的研究以上述四个问题逐步展开。
在现有的文献中可以发现,部分学者对北极航道开发的必要性方面展开了研究。王丹等[5]认为北极航道的开通有利于优化中国北方港口的网络布局,拓宽新能源通道,大幅降低海运费用。范厚明等[6]认为北极航道的开发将促进中国对外贸易的发展,特别是对原油和干散货贸易的正向影响巨大。Mou等[7]认为北极航道的开发会推动全球海运网络中心北移,分担中国“一带一路”的压力,对全球海运网络优化起到积极的作用;中俄两国及其他利益相关国有意愿对北极航道进行长期的投入。章成等[8]研究了中国参与北极事务的条件,认为中国在高速的经济发展中积累的资本条件,使投资北极航道开发正逢其时。
对北极航道的投资路径研究中,Zhu等[9]认为北极航道的开发是一个较长期的过程,需要在构建完善的能源供应体系和外贸运输新的网络布局方向上着重发力。谢纬[10]认为北极能源的开发周期较长,政府在换届过程中可能出现对能源开采不同的态度,使投资风险加大,中国目前的投资应更聚焦于航道通航条件的优化。李靖宇等[11]认为中俄之间需要加强海洋领域的合作,投资可偏向于科技的共同研发以降低北极航道的通航成本。姜巍[12]认为北极航道的未来基础设施是投资的重中之重。在具体投资方案的设计中,学者们既采用了SWOT分析这类定性的研究方法[13],也采用了贸易引力模型、可计算一般均衡模拟系统、熵权法等定量研究方法[14,15,16],还选择了动态贝叶斯网络、模糊层次分析等定性定量结合的方法[17]
学者对投资中的风险也进行了研究,普遍认为北极权益争夺、自然环境、文化差异、俄罗斯政府导向等因素都可能成为潜在风险,而最新的研究中证明其他投资国的参与可能也是中国在投资北极航道之前必须要考虑的因素。许小青[18]分析了“泛北极圈”国家参与北极航道开发的意愿,认为亚洲国家参与北极航道发展的意愿较强。肖洋[19]、Geun等[20]认为韩国在追求大国地位的驱动下,利用其在造船业、航运业和能源开采装备上的技术优势,在北极航道的开发中获益。王竞超[21]对日本的北极战略进行分析,认为其具有和中国联盟的可能,主要在能源安全和立法机制层面上寻求利益。其他学者对英国、印度等国家参与北极航道投资的路径和利益诉求进行了分析。
综上,学者们肯定了北极航道开发价值,并对开发的路径进行了分析,其中利用资本优势进行投资并获取北极航道相关服务是有效参与开发的路径,而投资应重点关注通航条件的改善。但现有的研究中对通航条件的改善建议绝大多数是宏观性的,结合港口实际情况进行中观和微观的可实施策略研究尚存不足。另外,研究方法的选择多数针对北极航道当下的静态的条件进行分析,没有考虑到国与国之间在动态信息条件下可能出现的不同表现,使研究结果对中长期的演化规律适应性不足。本文利用博弈理论对中俄两国不同的合作形式收益进行比较分析,并对其他国家参与投资的情况进行了研究,提升了研究结果的现实应用性。

2 数据来源

2.1 指标选取

2.1.1 宏观指标选择
中国投资北极航道沿线港口的开发宏观策略中,中俄双方需要对如下的指标进行博弈平衡。
(1) I ,代表中国对北极航道沿线港口投资额,单位:千元。
(2) p 1 ,中国的每单位运量通过北极航道的需缴纳给中国海事机构的监管费。中国在投资北极航道沿线港口后,在国内拥有对北极航道的监管权,为保证市场机制下的运营,将对进入北极航道的国内船舶征收部分监管费,单位:元。
(3) p 2 ,俄罗斯对每单位运量通过北极航道的通航定价,具体为单位运量的航道使用费、港口挂靠费、港口装卸费和港杂费的总和,单位:元。
(4) D 1 ,中国国内北极航道的实际市场需求量。需求量与需缴纳的费用成反比,中国国内的船舶需缴纳的费用包含支付中国和俄罗斯的两部分,即 p 1 p 2 ,所以,可得 D 1 = a 1 - b × p 1 + p 2 。其中, a 1 为中国使用北极航道的潜在市场规模,单位:t, b 为船舶营运者对价格的敏感度,单位:t/元。
(5) D 2 ,俄罗斯国内北极航道的实际市场需求量。同样,需求量与需缴纳的费用成反比,俄罗斯国内的船舶需缴纳的费用仅包含支付俄罗斯部分,即 p 2 ,所以,可得 D 2 = a 2 - b × p 2 。其中, a 2 为俄罗斯使用北极航道的潜在市场规模,单位:元, b 为船舶营运者对价格的敏感度,单位:t/元。
(6) s ,代表中国国内每单位运量使用北极航道比使用现有航道节省的费用,单位:千元。
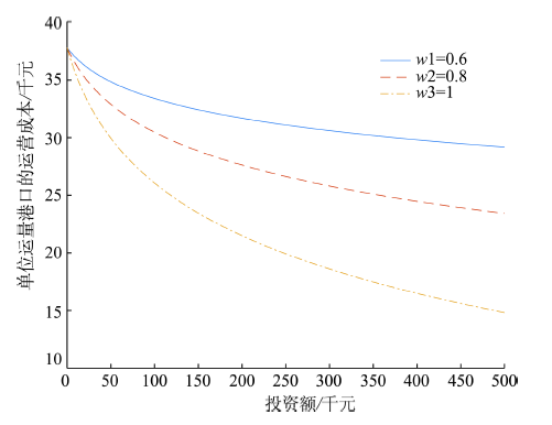
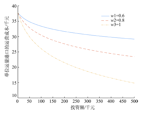
(7) h ,代表俄罗斯北极航道沿线港口服务单位运量的运营成本,单位:千元。根据参考文献[22],在接受投资后,港口进行基础设施和港口服务的升级,进而降低运营成本。投资额 I 与港口运营成本 h 之间满足函数关系,即 h = β × e - ωI 。其中, β 为常数,代表港口的初始运营成本; ω 0 ,代表不同规模的港口在接受投资后运营成本的弹性。根据 h I 的函数关系可知,在接受同样的投资时,规模大的港口较规模小的港口运营成本降低的比例小,不同的 ω 下投资额I与港口运营成本h之间呈函数递减的关系(图2)。
图2 投资额I与港口运营成本h之间的关系图

Figure 2 Relationship between investment and port operating costs

2.1.2 微观指标选择
在微观视角下进行投资北极航道沿线港口的选择,既需要考虑港口的建设现状,又需要考虑港口的发展潜力。参考相关研究成果[23,24,25],在港口的建设现状方面,选取泊位平均水深(X1)、港口泊位数量(X2)、泊位总长度(X3)、堆场面积(X4)、港口装卸机械数量(X5)、货运量(X6)6个指标;在港口的发展潜力方面选择港口城市人口(X7)、通航期(X8)、腹地待发现油气(X9)3个指标。

2.2 数据来源

2.2.1 研究对象港口选择
目前,在俄罗斯官方统计中,北极航道沿线分布着几百个港口,但多数无法正常使用,原因是建设时间久远,设备年久失修,无法满足现代化港口的运营条件,且港口日常维护成本高,导致可以停靠的船舶约束较大,港口的安全和环境保障也无法达标。在获得了投资国的投资后,俄罗斯北极航道沿线港口不仅可以进行港口设备更新换代,还可能由于重要节点的升级产生“以点带面”的联动,提升港口周边的能源价值、改善营商环境。
在研究具体港口投资策略时,需选取北极航道上的代表性港口进行分析。俄罗斯境内北极航道跨越五大海域,从北欧出发,由东向西分别为巴伦支海、喀拉海、拉普捷夫海、东西伯利亚海和楚科奇海。参考《北极航行指南(东北航道)》[26],北极航线(东北航道)经过的五大海域中,挪威海海域主要的港口有卑尔根港;巴伦支海海域主要的港口有摩尔曼克斯港、阿尔汉格尔斯克港,以及梅津港;喀拉海海域主要的港口有萨别塔港和迪克森港;拉普捷夫海海域主要的港口有季克西港和下扬斯克港;东西伯利亚海海域主要的港口有佩韦克港、普罗维杰尼亚港和乌厄连港。从五大海域的主要港口中选择1~3个具有代表性的港口进行研究。巴伦支海海域选择摩尔曼克斯港和阿尔汉格尔斯克港;喀拉海海域选择萨别塔港和迪克森港;拉普捷夫海海域选择季克西港;东西伯利亚海海域选择佩韦克港、普罗维杰尼亚港和乌厄连港,并对各港口的特色进行说明(表1[24]
表1 北极航道沿线代表性港口

Table 1 Representative ports along the Arctic Passage

序号 港口 所属海域 选择原因
1 摩尔曼斯克港 巴伦支海 北冰洋沿线最大海港,不冻港,最大渔港
2 阿尔汉格尔斯克港 巴伦支海 多功能港口,海铁枢纽,人口多
3 迪克森港 喀拉海 泊位条件好,燃料补给基地
4 萨别塔 喀拉海 中国通过河运进入北冰洋的唯一航道,服务亚马尔液化天然气项目
5 季克西 拉普捷夫海 海、河、江汇聚效应,通航时间长,地理位置优越
6 佩韦克 东西伯利亚海 航务服务齐全,港区吃水深
7 普罗维杰尼亚港 楚科奇海 通航期较长,船舶补给站和燃料供应站
8 乌厄连 楚科奇海 北极航道东大门
2.2.2 港口微观指标信息来源
主要包括:①港口的水深、泊位数量、泊位长度、堆场面积、港口装卸机械数量等数据来自俄罗斯港口统计网站(www.russianports.ru)及其他统计网站截至2017年的数据;②港口周边能源潜在储备数据来自BP、Shell公司在全球能源统计白皮书;③港口的货运量来自海运运价网站(www.searates.com)中有关运价指数和运价变化的统计;④港口人口数据来自俄罗斯联邦统计署数据(rosstat.gov.ru)。
2.2.3 常数信息来源
(1) a 1 (中国使用北极航道的潜在市场规模),通过中国海事服务网www.cnss.com.cn中的数据整理得到。预计到2025年, a 1 = 4.5 亿t;
(2) a 2 (俄罗斯使用北极航道的潜在市场规模),根据UNCTAD的统计数据(unctad.org/statistics)和李振福等学者在文献[28]中对北极航线货流结构与演化趋势的研究结果整理得到。预计到2025年, a 2 = 12 亿t;
(3) b (船舶营运者对价格的敏感度)数据来自Clarkson Research Services航运数据整理得到, b = 1 ;
(4) s (中国国内每单位运量使用北极航道比使用现有航道节省的费用),数据来自参考文献[29,30]的研究成果,进行总结整理得到, s = 0.7 万元;
(5) β (港口的初始单位运营成本),来自俄罗斯港口统计网站(www.russianports.ru), β = 0.5 万元;
(6) ω (不同规模的港口在接受投资后运营成本的弹性)数据来自参考文献[31,32,33]和Clarkson Research Services的研究成果,总结整理得到。

3 研究方法

3.1 宏观投资策略中的博弈分析

3.1.1 Stackelberg博弈过程
中国参与北极航道沿线港口的投资,实际上是中俄双方的博弈行为,应用博弈论的方法可以较系统地分析中俄双方在不同策略下的收益。在博弈模型中,中俄两国是博弈的主体,大国之间的博弈可以认为主体是完全理性的,且完全理性是共同知识,双方都以获得最大收益为目标。中国的投资策略与俄罗斯是否愿意接受投资并给予中国所要求的权益构成双方的博弈策略。但双方寻求博弈均衡的过程不能应用经典的纳什均衡的方法,这是由于博弈并不是静态的。俄罗斯拥有对境内北极航道的管辖主权,在博弈中是主导者。其可以观察到博弈中其他主体的行为,并据此制定最终策略。这种博弈主体地位不一致,且存在决策次序的不对称的博弈适合应用Stackelberg博弈模型寻求均衡解。
考虑实际情况,投资博弈的具体过程为:首先,俄罗斯以类似招标的形式给出投资国的所得权益,主要为使用北极航道时初始优惠价格;其次,投资国根据优惠价格,在考虑投资回报率的基础上确定是否投资,如果选择投资,在优惠价格的基础上制定本国使用北极航道的价格。根据经济学基本原理,在其他条件不变的情况下,价格与需求量成反比,可知投资国使用北极航道的价格和其国内市场使用北极航道的需求量为线性减函数关系,在确定投资国使用北极航道的市场规模和对价格的敏感度之后,投资国使用北极航道的价格决定了投资国使用北极航道的需求量;最后,俄罗斯在观察到投资国对北极航道的需求量之后,由于俄罗斯的收益与其直接相关,出于收益最大化考虑,俄罗斯将对初始优惠价格进行调整,给出最终的优惠价格。
需要注意的是,在文献研究中已证明投资国可能不仅仅包含中国,其他对北极航道有潜在需求的国家也可能参与投资,如日本、韩国和欧洲国家等,这将使博弈变得复杂。图3对投资的博弈过程进行了演示。
图3 投资北极航道博弈流程

Figure 3 Game theory of investment in the Arctic Passage

3.1.2 中俄独立决策博弈
根据参数设定,可得中国投资北极航道开发后,中国的收益函数为:
M 1 = p 1 D 1 + s D 1 - I
俄罗斯的收益函数为:
M 2 = p 2 D 1 + D 2 + h D 1 + D 2 + I
根据Stackelberg博弈的决策路径,双方要达成各自最大利益的均衡解[35]。首先,计算中国在获得最大利益时 p 1 ,可利用中国的收益函数 M 1 p 1 求导数,并令导数为0,可得反应函数:
p 1 ˆ = a 1 - bs - b p 2 2 b
将式(3)代入俄罗斯的收益函数 M 2 ,并对 p 2 求导数,令导数为0,可得在博弈均衡下的俄罗斯对每单位运量通过北极航道的通航均衡价格 p 2 * 为:
p 2 * = a 1 + bs + 3 b h + 2 a 2 6 b
p 2 * 代入(1),并对可得均衡状态下的中国监管费定价 p 1 *
p 1 * = 5 a 1 - 7 bs - 3 b h - 2 a 2 12 b
p 1 * p 2 * 分别代入收益函数 M 1 M 2 可得,在双方进行独立决策时的均衡收益如下:
M 1 * = 5 a 1 + 5 bs - 3 b h - 2 a 2 2 144 b - I
M 2 * = a 1 + bs - 3 b h + 2 a 2 2 24 b + I
3.1.3 其他投资国参与的情况
随着北极航线商业价值的开发,除了中国以外,其他北极航线沿线国家也将不断评估参与投资的收益,以便争取在国际航线新格局中争取有利的位置。实际中,挪威和日本已经参与过俄罗斯主持的北极航道的通航研究项目(INSPOP)[34],冰岛也开始了本国的港口与俄罗斯北极航线港口的协调共建项目。
对于俄方来说,利用中国的投资进行北极航道的开发和改造只是其国家战略的一部分。随着北极航道开发带来的巨大的收益,为了制衡中国对俄罗斯经济的影响,俄罗斯在之后的战略选择中既有可能约束中国对北极航道的优惠政策期限,逐步用俄罗斯本土资本取代;也有可能以中国投资模式为蓝本,吸引其他国际资本的投资,以稀释中国资本的影响。所以,中国在投资北极航道开发前,要对其他国家参与的情况做好预案,保证预期收益。
基于中俄独立决策博弈分析的博弈结果上,假设此时包括中国在内,投资国共有n个,则每个国家对北极航道投资分别为 I i ,各投资国每单位运量通过北极航道的需缴纳给本国的监管费为 p 1 i ,则各国对北极航道市场需求:
D 1 i = a n - b × p 1 i + p 2 + θ p 1 j i = 1 , , n , i j
式中: a n 代表n个投资国所在区域内的市场总规模; b 仍为价格弹性系数; θ 是投资国之间的关联系数,反映出各国之间价格变化对其他国家需求量的影响。其他俄罗斯相关变量参数 p 2 D 2 h 保持不变; s 为北极航道的自身特征常数,也保持不变。
投资国的收益函数为:
M i = p 1 i D 1 i + s D 1 i - I i
俄罗斯的收益函数为:
M 2 = i = 1 n D 1 i × p 2 + h + I i + D 2 p 2 + h
俄罗斯作为北极东北航道的主权管辖者,在博弈中占据先行优势,最终均衡收益中为优势方。博弈求解依旧按照上文Stackelberg 博弈求解思路,可得多国参与投资时各自的平衡收益 M i ** 和俄罗斯的收益 M 2 **

3.2 DEA港口投资潜力评价

进行微观投资策略设计的时候,需要对潜在投资港口进行比较分析。DEA(Data Envelopment Analysis,数据包络分析)在多投入、多产出系统的相对效率分析中具有不用主观确认指标之间权重、客观性强的优势。由于在北极航道沿线港口的投资选择中要同时考虑港口建设现状和投资潜力,通过DEA进行港口相对效率的评价是科学的方法。
设有n个被评价对象,分别有m种类型的投入和z种类型的产出,其中第j个被评价对象(DMUj)的效率定义为:
E j = r = 1 z U r Y rj i = 1 m V i X ij
式中: Y rj 为第j个评价对象的第r个产出指标值; U r 为第r个产出指标的权重; X ij 为第j个评价对象的第i个投入指标值; V i 为第i个投入指标的权重。假定投入产出指标权重是这样的变量:在满足被评价对象的效率均不大于1的条件下,它们能使被评价对象的效率最大化,这个最大值此处称为第 j 0 个被评价对象 DM U j 0 的相对效率 h j 0 。根据上面的阐述可以得到以下的优化模型[36]
max h j 0 = r = 1 z U r Y r j 0 i = 1 m V i X i j 0 s.t. r = 1 z U r Y rj i = 1 m V i X ij 1 U r , V i 0
为了可以利用单纯型表求解,把线性规划模型(4)进行Cooper变换和对偶转换,可得:
min θ - ε ( r = 1 z S r + + i = 1 m S i - ) s.t. j = 1 n X ij λ j + S i - = θ X i j 0 j = 1 n Y rj λ j - S r + = Y r j 0 λ j , S i - , S r + 0
式中: λ j , S i - , S r + , θ 为对偶变量。设 λ j , S i - , S r + , θ 为对偶模型最优解,由对偶性质可知,则当 θ =1,且 S i - , S r + =0时,则称 DM U j 0 有效。 S i - 称为松弛变量,含义是在现有的产出量下,投入要素中没有发挥作用的数量,或者可认为是投入要素可以减少的数量。 S r + 是剩余变量,指在现有技术水平和现有投入情况下,产出要素不足的数量,或者说产出要素数量到合理产出量的差距,是现有情况下还可以增加的产出数量。
θ =1,且 S i - 0, S r + 0则为弱DEA有效。 S i - 就是 DM U j 0 要达到DEA有效应该减去的投入要素数量, S r + 则是 DM U j 0 要达到DEA有效应该增加的产出要素数量。
θ =1,说明 DM U j 0 在现有技术水平下,投入数量太多而产出数量太少,存在某种程度上的资源浪费, DM U j 0 的内部运作存在某些问题,效率评价指数越低,则 DM U j 0 的内部运作效率越低,资源浪费情况越严重,从而改进的余地也越大,同时 S i - , S r + 也越大。这种情况称为DEA无效。
本文的研究中,DEA模型可以计算出投资港口的相对投资潜力效率,一般相对效率为1的港口为有效投资港口。在相对效率不为1时,可以计算其在有效前沿面上的“投影”,据此可以分析港口优化的潜力。优化的公式为:
X i j 0 = θ X i j 0 - S i - Y r j 0 = Y r j 0 + S r +
把计划投资港口的建设现状信息作为DEA的投入指标,把计划投资港口的发展潜力信息作为产出指标,数据信息如表2表3中所示。把投入和产出代入DEA模型(5)中可对计划投资港口相对投资潜力效率进行评价。
表2 计划投资港口的发展潜力信息

Table 2 Information on the development potential of the planned investment ports

港口 人口
/人
通航期
/月份
腹地已探测
待开采油气/亿t
摩尔曼斯克港 298096 全年 85.62
阿尔汉格尔斯克港 351488 6—10 0.66
迪克森港 609 7—10 171.68
萨别塔 33750 7—10 171.68
季克西 3380 7—10 40.95
佩韦克 4547 7—10 0.18
普罗维杰尼亚港 2109 7—10 1.53
乌厄连 632 7—10 1.53
表3 计划投资港口的现有建设情况信息

Table 3 Information on the current development status of the planned investment ports

港口 泊位水深/m 港口泊位数量/个 泊位总长度/m 堆场面积/m2 港口装卸机械数量/台 货运量/百万t
摩尔曼斯克港 13.0 29 3554 222460 62 51.70
阿尔汉格尔斯克港 9.2 21 15916 459246 72 2.60
迪克森港 9.1 22 200 14000 10 0.20
萨别塔 8.9 14 311 20100 10 8.00
季克西 7.6 14 1724 56700 23 0.41
佩韦克 10.0 9 500 149100 20 0.24
普罗维杰尼亚港 10.0 8 524 33900 4 0.01
乌厄连 7.9 5 254 12300 5 0.10

3.3 投资港口选择仿真

在计划投资港口进行DEA有效性评价后,需要确认中国投资北极航道沿线港口的投资方式和投资额度。投资方式包括:①集中投资。即投资集中在某一港口;②分散投资,即进行多港口的组合投资。此外,还要研究不同的投资额度下,投资方式的变化规律,以便根据投资额的多少选择差异性的投资保证最优的投资回报。
本文通过港口的现有规模,把计划投资的港口分为大、中、小3类港口。在3类集群中各选取一个代表性港口,大型港口选择摩尔曼斯克港,中型港口选择阿尔汉格尔斯克港,小型港口选择普罗维杰尼亚港,记为A、B、C,则投资方式包括以下7种:单独投资A、B、C,投资港口群AB、AC、BC,投资全部港口ABC。
中国的投资收益由变量 h I 决定,把 h = β × e - ωI 的函数关系代入公式(6)可得:
M 1 * = 5 a 1 + 5 bs - 3 b × β × e - ωI - 2 a 2 2 144 b - I
在其他常数不变的情况下,不同的投资组合方式会使接受投资后港口运营成本的弹性 ω 发生变化,为了有效利用仿真的方法研究不同投资方式的收益变化,进行参数假定如下:
① A、B、C 3种不同规模的港口中,运营成本的弹性 ω 的比例为5:3:2,单位弹性为 ω 0 。则A、B、C的运营成本的弹性分别为 5 ω 0 3 ω 0 2 ω 0
② 不同港口的组合其规模为港口规模的求和,其弹性也为其单独弹性的求和。如AB港口群的弹性为港口A弹性加上港口B的弹性,为 8 ω 0
③ 同样为DEA有效的港口中,即便港口规模不同,现阶段其港口运营单位成本 β 是相同的。
由此,利用2.2.3节中确认的常数,计算不同投资方式的收益如表4所示。
表4 投资收益表

Table 4 Investment income statement

序号 投资
策略
投资收益
1 A 11445×4.5-5×1×0.7-3×1×0.5×e-5ω0I-2×122I
2 B 11445×4.5-5×1×0.7-3×1×0.5×e-3ω0I-2×122I
3 C 11445×4.5-5×1×0.7-3×1×0.5×e-2ω0I-2×122I
4 AB 11445×4.5-5×1×0.7-3×1×0.5×e-8ω0I-2×122I
5 AC 11445×4.5-5×1×0.7-3×1×0.5×e-7ω0I-2×122I
6 BC 11445×4.5-5×1×0.7-3×1×0.5×e-5ω0I-2×122I
7 ABC 11445×4.5-5×1×0.7-3×1×0.5×e-10ω0I-2×122I
通过改变 ω 0 I 的取值,可以绘制不同投资方式下的收益图。

4 结果与分析

4.1 宏观博弈分析

4.1.1 中国单独投资博弈结果
根据公式(6),利用2.2.3节中确认的常数,可得
M 1 * = 1 144 5 × 4.5 - 5 × 1 × 0.7 - 3 × 1 × 0.5 × e - ωI - 2 × 12 2 - I
式(16)对 I 求导,可得 M 1 * I = - 10 ωI e - ωI - 2 ωI e - 2 ωI - 1 ,当 ω I 取不同值时,无法确定求导的结果与0之间的关系。所以,中国投资的收益 M 1 * 为非单调函数。由此可证,不能简单地依靠增加投资来扩大收益。且式(16)中仅有 ω I 为可变参数,中国投资俄罗斯北极航道沿线港口的初期,投资额度肯定是有限的,此时应重点关注 ω 的变化。 ω 与港口的规模有密切关系,说明应科学地选择适度规模的港口或港口群进行投资。这一点将在微观策略分析中进一步讨论。
4.1.2 其他国家参与投资的博弈分析
多国参与投资时各自的平衡收益 M i ** 和俄罗斯的收益 M 2 ** 的求解过程受各投资参与顺序的不同出现多种结果,先分别讨论。
(1)中国先投资,其他国家跟进的情况
在这种情况下,中国与其他国家的投资形成了Stackelberg博弈。在已经与俄罗斯达成投资合作之后,中国在博弈中具有先行优势。由于港口等基础设施的共同运营权具有排他性,天然气等能源具有不可再生性,所以,中国在其他国家跟进投资之后收益不受影响,即 M 1 ** = M 1 *
(2)中国和其他国家同时投资,且北极航道相关产品和服务无供给上限
各投资国与俄罗斯之间构成独立的博弈。各国的收益不受影响,而俄罗斯的收益则变为与各投资国博弈后均衡收益解的总和。在这种情况下,俄罗斯将乐于吸引更多的国家参与投资,并分散北极航道的运营权,不对某一国家进行长时间的北极航道使用授权,使各国相互制衡,中国将无法保证长期收益。但这种情况出现的可能性较小,因为经历了乌克兰危机,和欧盟、北约对俄的经济制裁后,欧美国家纷纷采取限制或终止与俄罗斯的合作,不仅在融资和信贷方面进行控制,且用于石油开采和航线建设的高新技术供给也对俄封闭[37]。就现阶段而言,俄罗斯的合作伙伴只能考虑亚洲经济实力雄厚国家和极有限交好的欧洲国家,中国的收益较长时间内可以得到保障。
(3)中国和其他国家同时投资,但北极航道相关产品和服务存在供给上限
如日本、韩国等国家现阶段有意愿投资北极航道,中国的投资将面临更加复杂的情况。但俄罗斯不会完全放开能源的开采和出口,同时,受北极航道冰封期、破冰船数量和港口服务能力的限制,北极航道相关产品和服务存在供给上限。在这种情况下,中国、其他投资国与俄罗斯之间可能存在着非常复杂的战略选择,如俄罗斯与其他投资国结盟降低中国资本对俄的影响,中国与其他投资国结盟便于在对俄谈判中争取更大的收益的情况都可能出现。无法用恒定不变的方法解决瞬息万变国际形势,本文仅讨论最常见情况下的博弈,即中国与其他投资国处于相同的供需市场中,彼此之间自由竞争。最终的博弈结果中,俄罗斯的收益 M 2 ** M 2 * ,即收益优于与中国单独合作。各投资国的最终收益 M i * 则不仅受 ω I ,还受参数 θ 影响。证明了各投资国之间对北极航道使用的定价对其他投资国的收益将产生影响。根据纳什平衡理论,理智的参与者在信息对称且没有经过协调下得到的博弈均衡解为次优解,可知,各方投资的情况下,要取得最优的投资回报,需要组建有效的投资联盟,而不是进行“囚徒困境”式的价格竞争。

4.2 DEA港口投资潜力评价结果

把计划投资港口的建设现状信息作为DEA的投入指标,把计划投资港口的发展潜力信息作为产出指标,代入DEA模型(13)中,利用Matlab软件2016b进行编程,可得表5的有效性评价结果。
表5 计划投资港口DEA有效性评价结果

Table 5 Evaluation results of effectiveness of planned investment ports from data envelopment analysis (DEA)

港口 DMU1 DMU2 DMU3 DMU4 DMU5 DMU6 DMU7 DMU8
有效性 1.0000 1.0000 1.0000 1.0000 0.6363 0.8190 1.0000 1.0000
结果显示,计划投资港口不是全部DEA有效。以DMU5(季克西)为例,其DEA效率值为0.6363,即其港口现状不能匹配港口的未来发展,在这样的情况下,如选择该港口进行投资,需要优先对港口的短板进行完善。由于港口的潜力指标,包括人口、能源储备和通航时间是无法改变的,投资的重点应关注于改善港口现状。因此,需要对输入指标 S i - 值进行分析。表6为利用Matlab软件计算的投入指标 S i - 结果。
表6 计划投资港口投入指标Si-结果

Table6 Input index Si-results of planned investment ports

DMU1 DMU2 DMU3 DMU4 DMU5 DMU6 DMU7 DMU8
X1 0 0 0 0 0 0 0 0
X2 0 0 0 0 0 0 0 0
X3 0 0 0 0 0.0075 0 0 0
X4 0 0 0 0 0.0001 1.0484 0 0
X5 0 0 0 0 0.2046 0.0001 0 0
X6 0 0 0 0 0 0 0 0
DMU5(季克西)的投入指标中X3、X4、X5的 S i - 分别为0.0075、0.0001、0.2046,表示现有的投入指标中泊位总长度、堆场面积和港口的装卸机械数量是浪费的。而泊位和堆场面积可以选择闲置不使用,但装卸机械多余不仅会占用维护成本,还消耗人力成本,因此应该适度地进行变现处理。处理的数量利用公式(14)中的 X i j 0 = θ X i j 0 - S i - ,最优数量为 0.6363 × 23 - 0.2046 14 ,即需要减少的数量为 23 - 14 = 9 台。
DEA评价的结果说明了港口的投资不能盲目,当评价结果中投入指标的 S i - 存在时,最优的策略不是继续购买设备,进行港口基础建设,而是缩减设备数量,保证港口设备效率。当某些港口为DEA无效,且投入指标的 S i - 不易进行调整的时候,不宜把该港口作为优化的投资对象。

4.3 投资港口选择仿真结果

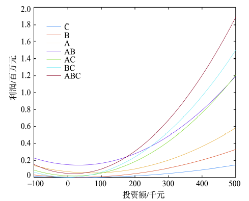
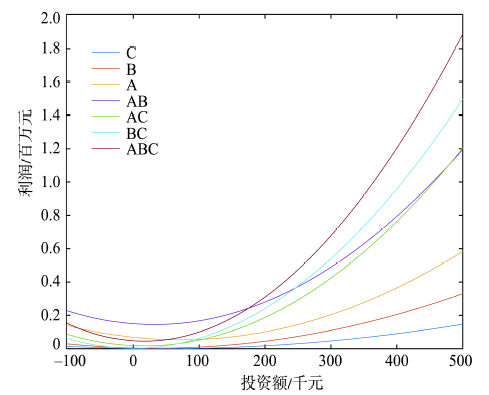
根据Clarkson Research Services的结果,取 ω 0 = 0.2 作为基础值,当 I ~ ( 0,500 ) 时,可得仿真效果图(图4)。
图4 不同投资方式下投资额与收益的关系图

Figure 4 Relationship between investment amount and income under different investment scenarios

根据图4可进行如下分析:
(1)在投资额小于100亿元时,收益最高的投资方式为AB组合;当投资额大于200亿元时,收益最高的投资方式为ABC组合。不仅如此,通过观察仿真图,可知,无论投资额高低,集中投资于单个港口的收益始终不如分散投资的收益,该趋势随着投资额的增加愈发明显。当 ω 0 取其他值的时候,策略收益出现类似的规律,不一一列举。由此可知,分散投资策略优于集中投资策略,且在资金有限的时候,选择规模大的港口组合;在资金充足的时候,尽可能地投资于更多的港口,而不是集中在某几个港口。
(2)在投资额较低的时期,随着投资额增加总收益出现下降的趋势,且各投资组合的收益差别不明显。通过公式(15)进行分析可知, I 较小的时候,收益的增加率不如投资的增加率,即投资的收益转化率低。I值较小的时候,中国无法对北极航道的沿线港口形成有效的控制,取得不了规模效益。所以,在投资中,尽量避免单打独斗,大型企业和金融机构应组成投资联盟,尽可能通过较大值的投资平稳度过收益下降的阶段。

5 结论

中国对北极航道沿线港口的投资是一个信息不对称的博弈,要保证中国长期利益的稳定,需要根据国际形势、中俄实力对比等影响因素,以主动出击的方式,把北极航道开发后利益相关者的可能战略充分考虑,立足于投资项目的影响力的扩大,以长期双赢为指导思想,稳固两国战略合作伙伴关系。研究得出了如下的结论:
(1)中国在北极航道沿线港口中的投资方向中,在扩大港口的盈利和降低港口的运营成本中应选择后者。当有其他国家参与投资的时候,中国应尽可能地争取到优先合作权,通过港口入股和管理系统共建共享等方式增加对港口的控制。如无法取得先手投资优势,可以选择与其他投资国进行结盟,争取对俄投资中具有更大的话语权,不能与其他投资国在北极航道的服务定价上打价格战。
(2)在微观投资方式的选择上,首先需要对计划投资的港口进行投资潜力分析。既要考虑港口的建设现状,又要兼顾港口的发展潜力。如港口的现有基础设施与其发展潜力不匹配的时候,即DEA无效时,优先进行现有基础设施的指标调整,而不是盲目地扩大投资。当受限于政策、地理位置等条件无法对DEA无效的港口设施进行调整时,尽量不选择该港口作为投资对象。
(3)港口的规模是投资中重点考虑的因素。对港口的分散投资的收益要大于集中投资,通过合理地进行港口组合投资可以降低风险,提高资本的回报率。要根据港口规模和港口升级的难度进行系统规划,科学选择升级难度低,且组合规模大的港口群进行投资。港口群的地理位置尽可能靠近,以便形成区域联动效应。
[1]
王冠, 陈涵如, 王平, 等. 俄罗斯环北极地区地表径流变化及其原因[J]. 资源科学, 2020,42(2):346-357.

[ Wang G, Chen H R, Wang P, et al. Surface runoff changes and their causes in the Russian Pan-Arctic region[J]. Resources Science, 2020,42(2):346-357.]

[2]
李振福, 王文雅, 米季科·瓦列里·布罗尼斯拉维奇. 中俄北极合作走廊建设构想[J]. 东北亚论坛, 2017,26(1):53-63.

[ Li Z F, Wang W Y, Bronislavich M W. The study of sino-Russia arctic route cooperation corridor[J]. Northeast Asia Forum, 2017,26(1):53-63.]

[3]
李振福, 汤晓雯, 姚丽丽, 等. 北极通道开发与中国石油进口通道格局变化[J]. 资源科学, 2015,37(8):1639-1649.

[ Li Z F, Tang X W, Yao L L, et al. Development of the arctic channel and patterns of change in China’s oil importing channels[J]. Resources Science, 2015,37(8):1639-1649.]

[4]
丛晓男. 俄罗斯北方海航道发展战略演进: 从单边管控到国际合作[J]. 欧亚经济, 2019, (4):44-59.

[ Cong X N. Strategic evolution of Russia’s northern sea route: From unilateral control to international cooperation[J]. Russian Central Asian & East European Market, 2019, (4):44-59.]

[5]
王丹, 张浩. 北极通航对中国北方港口的影响及其应对策略研究[J]. 中国软科学, 2014, (3):16-31.

[ Wang D, Zhang H. Impact of the arctic passage’s opening on Chinese northern ports and China’s response[J]. China Soft Science, 2014, (3):16-31.]

[6]
范厚明, 刘益迎. 北极通航对中国海运贸易的影响分析[J]. 对外经贸实务, 2015, (9):21-23.

[ Fan H M, Liu Y Y. Analysis of the influence of Arctic navigation on China’s maritime trade[J]. Practice in Foreign Economic Relations and Trade, 2015, (9):21-23.]

[7]
Mou N X, Li J, Sun S Y, et al. The impact of opening the arctic northeast passage on the global maritime transportation network pattern using AIS data[J]. Arabian Journal of Geosciences, 2020,13(1):419.

[8]
章成, 顾兴斌. 论中国对北极事务的参与: 法律依据、现实条件和利益需求[J]. 理论月刊, 2017, (4):103-107.

[ Zhang C, Gu X B. On China’s participation in arctic affairs: Legal basis, realistic conditions and interest demand[J]. Theory Monthly, 2017, (4):103-107.]

[9]
Zhu X N, Cao W Z, Ai W Z. The study on necessity of actively participating in opening up the arctic northeast passage[J]. IOP Conference Series: Earth and Environmental Science, 2018,189(6):159-162.

[10]
谢玮. 加拿大驻华大使赵朴谈北极开发: 北极航运比油气开发更重要[J]. 中国经济周刊, 2014, (25):76-77.

[ Xie W. Canadian ambassador to China Zhao Pu talks about arctic development: Arctic shipping is more important than oil and gas development[J]. China Economic Weekly, 2014, (25):76-77.]

[11]
李靖宇, 张晨瑶. 中俄两国合作开拓21世纪东北方向海上丝绸之路的战略构想[J]. 东北亚论坛, 2015,24(3):75-83.

[ Li J Y, Zhang C Y. The strategic conception of Sino-Russia joint development of the 21st century maritime silk road to the direction of Northeast[J]. Northeast Asia Forum, 2015,24(3):75-83.]

[12]
姜巍. 环北极国家基础设施投资机遇与中国策略[J]. 人民论坛·学术前沿, 2018, (11):50-59.

[ Jiang W. Infrastructure investment opportunities in the Pan-Arctic Countries and China’s strategy[J]. Frontiers, 2018, (11):50-59.]

[13]
李振福, 尤雪, 王文雅. 中国北极航线多层战略体系研究[J]. 中国软科学, 2015, (4):29-37.

[ Li Z F, You X, Wang W Y. Study of multilayer-strategy system for China’s approach to the Arctic route[J]. China Soft Science, 2015, (4):29-37.]

[14]
迟梦菡. 北极东北航道开通后对我国与沿线国家贸易潜力影响分析[D]. 大连: 大连海事大学, 2019.

[ Chi M H. The Northeast Sea Route’s Impact on Trade Potential Between China and the Countries Along[D]. Dalian: Dalian Maritime University, 2019.]

[15]
丛晓男. 北极西北航道潜在经济影响及中国对策: 基于全球多区域可计算一般均衡[J]. 世界经济与政治, 2017, (2):106-129.

[ Cong X N. Potential influence of the Northwest passage on global economics and China’s countermeasures: Based on Global Multi-Regional CGE Model[J]. World Economy and Politics, 2017, (2):106-129.]

[16]
于涛, 丁一, 林国龙. 基于熵权法的东北航道LNG船舶经济效益评价[J]. 大连海事大学学报, 2017,43(3):50-57.

[ Yu T, Ding Y, Lin G L. Economic benefit evaluation of LNG ship through the northeast passage based on entropy weight method[J]. Journal of Dalian Maritime University, 2017,43(3):50-57.]

[17]
单雨龙, 张韧, 李明. 基于动态贝叶斯网络的北极东北航道关键海区通航可行性研究[J]. 极地研究, 2019,31(1):94-102.

[ Shan Y L, Zhang R, Li M. A feasibility study of navigation in a key sea area of the northeast passage of the northeast passage of the Arctic based on dynamic Bayesian network[J]. Chinese Journal of Polar Research, 2019,31(1):94-102.]

[18]
许小青. “泛北极圈”国家治理现状及其对我国北极利益选择的影响[J]. 南阳师范学院学报, 2015,14(8):6-10.

[ Xu X Q. “Pan-Arctic” national governance and its impact on the status of China’s arctic interests[J]. Journal of Nanyang Normal University, 2015,14(8):6-10.]

[19]
肖洋. 韩国的北极战略: 构建逻辑与实施愿景[J]. 国际论坛, 2016,18(2):13-19.

[ Xiao Y. South Korea’s arctic strategy: Logic of construction and vision of implementation[J]. International Forum, 2016,18(2):13-19.]

[20]
Song M G. Analysis of China’s arctic route development associated with the Belt and Road initiative[J]. Journal of Digital Convergence, 2018, (2):103-115.

[21]
王竞超. 日本北极航道开发战略研究: 战略动机、决策机制与推进模式[J]. 世界经济与政治论坛, 2017, (3):77-94.

[ Wang J C. Research on the development strategy of Japan’s Arctic Waterway: Strategic motivation, decision-making mechanism and promotion model[J]. Forum of World Economics & Politics, 2017, (3):77-94.]

[22]
辛玉花. 北极航线通航对上海港港口物流发展的影响评价[D]. 长春: 吉林大学, 2018.

[ Xin Y H. Impact of Arctic Route Navigation on Port Logistics Development of Shanghai[D]. Changchun: Jilin University, 2018.]

[23]
董江, 刘雷, 卫国兵. 北极东北航道关键水域通航环境及沿线主要港口[J]. 航海, 2018, (3):43-46.

[ Dong J, Liu L, Wei G B. Navigation environment in key waters of the Arctic Northeast Passage and main ports along the route[J]. Navigation, 2018, (3):43-46.]

[24]
梁承姬, 姚远, 徐德洪, 等. 基于模糊综合评价法的北极挂靠港建模选择研究[J]. 华中师范大学学报(自然科学版), 2017,51(6):817-824.

[ Liang C J, Yao Y, Xu D H, et al. Study on the selecting model for Arctic ports of call basing on fuzzy comprehensive evaluation method[J]. Journal of Central China Normal University (Natural Sciences), 2017,51(6):817-824.]

[25]
韦博文. 北极经济圈国家港口物流网络演化研究[D]. 大连: 大连海事大学, 2020.

[ Wei B W. Research on the Evolution of Port Logistics Network in Arctic Economic Circle Countries[D]. Dalian: Dalian Maritime University, 2020.]

[26]
中华人民共和国海事局. 北极航行指南(东北航道)[M]. 北京: 人民交通出版社, 2014.

[ Maritime Safety Administration of the People’s Republic of China. Guidance on Arctic Navigation in the Northeast Route[M]. Beijing: China Communications Press, 2014.]

[27]
朱静. 北极东北航线港口合作竞争力研究[D]. 大连: 大连海事大学, 2017.

[ Zhu J. Research on Port Cooperative Competitiveness of Ports Along the Northeast Passage of the Arctic[D]. Dalian: Dalian Maritime University, 2017.]

[28]
李振福, 丁超君. 北极航线货流结构与演化趋势研究[J]. 国际经贸探索, 2016,32(3):34-45.

[ Li Z F, Ding C J. The structure and evolution trend of Arctic route cargo flow[J]. International Economics and Trade Research, 2016,32(3):34-45.]

[29]
Lindstad H, Bright R Y, Strømmanb A H, et al. Economic savings linked to future Arctic shipping trade are at odds win climate change mitigation[J]. Transport Policy, 2016,45:24-30.

[30]
Yuan C Y, Hsieh C H, Su D T. Effects of new shipping routes on the operational resilience of container lines: Potential impacts of the Arctic Sea Route and the Kra Canal on the Europe-Far East seaborne trades[J]. Maritime Economics & Logistics, 2020,22(2):308-325.

[31]
匡海波, 牛文元. 基于随机规划的港口投资优化决策模型[J]. 系统工程理论与实践, 2010,30(1):62-67.

[ Kuang H B, Niu W Y. Port investment decision-making optimization model based on stochastic programming[J]. Systems Engineering: Theory & Practice, 2010,30(1):62-67.]

[32]
夏一平, 胡麦秀. 北极航线与传统航线航运成本的估算和比较[J]. 海洋经济, 2017,7(3):11-19.

[ Xia Y P, Hu M X. Estimation and comparison analysis on shipping cost of the Arctic shipping routes and the traditional shipping routes[J]. Marine Economy, 2017,7(3):11-19.]

[33]
高世龙, 刘加钊, 张晓. 冰上丝绸之路背景下商船北极航行的经济性评析[J]. 对外经贸实务, 2018, (1):26-29.

[ Gao S L, Liu J Z, Zhang X. Economic analysis of merchant ship sailing in the Arctic under the background of the Silk Road on Ice[J]. Practice in Foreign Economic Relations and Trade, 2018, (1):26-29.]

[34]
闫力. 北极航道通航环境研究[D]. 大连: 大连海事大学, 2011.

[ Yan L. The Research on the Navigable Environment of Arctic Passage[D]. Dalian: Dalian Maritime University, 2011.]

[35]
Ebrahimnejad A, Matin R K, Maleki S. Two-stage network DEA with convex hull in intermediate products[J]. Journal of Mathematics and Statistics, 2019, (1):99-105.

[36]
石永强, 王佳欣, 张智勇. 基于博弈论的两级逆向供应链定价策略研究[J]. 工业工程, 2020,23(3):45-50.

[ Shi Y Q, Wang J X, Zhang Z Y. Research strategy based on game theory for two-stage reverse supply chain[J]. Industrial Engineering Journal, 2020,23(3):45-50.]

[37]
Koch-Weser I, Murray C. The China-Russia gas deal: Background and implications for the broader relationship[J]. US-China Economic and Security Review Commission, 2014, (9):259-264.

[38]
Jorgensen S, Zaccour G. Equilibrium pricing and advertising strategies in a marketing channel[J]. Journal of Optimization Theory and Applications, 1999,102(1):111-125

[39]
陆钢. “冰上丝绸之路”的商用价值及其技术支撑[J]. 人民论坛·学术前沿, 2018, (11):35-39.

[ Lu G. The commercial value of the“Polar Silk Road” and its technical support[J]. Frontiers, 2018, (11):35-39.]

Outlines

/