Orginal Article

Research on tariffs’ alternative policy of strategic mineral resources from the perspective of external cost internalization taking rare earth mine as an example

  • SONG Yi , 1, 2 ,
  • HUANG Jianbai , 1, 2 ,
  • ZHONG Meirui 1, 2 ,
  • ZHANG Yijun 1, 2
Expand
  • 1. School of Business, Central South University, Changsha 410083, China
  • 2. Metal Resources Strategic Research Institute, Central South University, Changsha 410083, China

Received date: 2017-08-25

  Request revised date: 2018-02-09

  Online published: 2018-03-10

Copyright

《资源科学》编辑部

Abstract

The “China-raw materials” and “China-rare earths” cases urge the Chinese government to adopt resource and environmental policies that are WTO-consistent and effective, promoting the internalization of external costs in the process of exploiting metal minerals. However, the existing research only considered the intergenerational external cost when evaluating the alternative policies for tariffs, and the related parameters were given exogenously when employ tax transfer model to evaluate the substitution effect of resource tax on tariffs. As a kind of strategic mineral resource, rare earth minerals are selected as the research object. The theoretical tax range of the external costs (including intergenerational cost and environmental cost) of rare earth from the perspective of whole life cycle is estimated to be 28.5%-48.0%. Further, the transformed Lerner and SMR model are employed to estimate the market power of the upstream and downstream enterprises for three different periods. The market powers of the upstream enterprises in the three periods are 1.0, 0.8 and 1.2, respectively, and those of the downstream enterprises are 0.1, 0.2 and 0.4, respectively. Through internalizing the external costs and market power into the tax transfer model, we find that the transmission mechanism and equivalent substitution of intergenerational and environmental external costs, and environmental protection tax rate are related to the market power of rare earth export enterprises, supply elasticity of the upstream enterprises and demand elasticity of the foreign enterprises. This paper provides theoretical basis for the government to formulate more compliance resources policy and environmental policy. Moreover, it sets up an analytical paradigm for the other strategic mineral resources.

Cite this article

SONG Yi , HUANG Jianbai , ZHONG Meirui , ZHANG Yijun . Research on tariffs’ alternative policy of strategic mineral resources from the perspective of external cost internalization taking rare earth mine as an example[J]. Resources Science, 2018 , 40(3) : 611 -622 . DOI: 10.18402/resci.2018.03.15

1 引言

2009年的“原材料案”和2012年的“稀土案”等案件败诉,暴露出中国在限制金属矿产出口方面政策工具选择的盲目性,迫切需要政府采取更为合规有效的资源政策和环境政策,推动金属矿产开采加工过程中的外部性成本内部化。因此,党的十八大报告提出:“深化资源性产品价格和税费改革,建立反映市场供求和资源稀缺程度、体现生态价值和代际补偿的资源有偿使用制度和生态补偿制度”。由此可见,如何把矿产资源开发利用的代际外部性成本和环境外部性成本精确测算出来,然后通过合理的政策设计把这些外部性成本反映在矿产资源价格中已经成为国家重大需求问题,也是国家在很长一段时间内亟待解决的重大理论和现实问题。其实从实践层面而言,国家实施的关税政策是为了解决外部性成本内部化的问题,却违背了WTO的自由贸易规则,所以商务部、海关总署于2015年5月1日取消钨矿和稀土矿等的出口关税。此外,作为建立健全资源有偿使用制度和生态补偿机制的一种尝试,国家在2016年对包括金属矿产在内的矿产资源实施了资源税从量到从价计征的全面改革[1];同时也决定在2018年实施环境保护税[2]。但是发达国家采取诉诸WTO方式逼迫中国敞开优势资源供应,而自身却在新能源汽车、新材料等高新技术产业所需的金属高端材料上发力,以掌控核心技术的方式将中国产业链锁定在低端领域,导致中国高技术优势金属矿产存在严重的定价权问题。所以中国原来实施的关税政策一方面是为了将部分代际外部性成本和环境外部性成本内部化,另一方面也是为了提升金属矿产市场势力,争夺国际贸易话语权。那么在取消部分金属矿产关税的前提下,如何通过从价计征的资源税和环境保护税,把金属矿的代际外部性成本和环境外部性成本传递到价格上,在避开直接管制出口敏感话题的同时又反映一定市场势力,实现掌握高技术优势矿产定价的话语权,就必须评价从价计征的资源税和环境保护税对关税的替代性效果。
对稀土等战略性矿产资源的研究,现有文献主要集中在外部性成本内部化、环境外部性成本测算方法和关税替代性政策效果评价等方面:① 外部性成本内部化方面。Pigou提出应该通过税收等方式将环境外部成本内部化[3];Michale认为资源性产品的定价机制应该反映环境成本[4];徐辉等、刘立佳认为资源开发的外部性成本应该通过市场手段和完善现有制度进行补偿[5,6]。② 环境外部性成本测算方面。张文霞等系统总结了中国生态补偿核算的方法,包括:效果评估法、市场价值法、环境破坏经济损失估算法、机会成本法、全生命周期评价模型等[7];马国霞等通过构建稀土采选和冶炼的生态破坏损失和环境污染损失核算框架,定量评估了中国三大稀土生产基地2001—2013年稀土开发的生态环境成本[8];曾先峰等基于完全成本核算了2008—2010年碳酸稀土的理论价格,其理论价格包括轻稀土精矿的使用者成本和环境外部成本[9]。③ 关税替代性政策效果评价方面。何欢浪认为环境政策可以作为对传统贸易政策的替代[10];杜凤莲等和朱学红等在王正明等稀土税收转嫁模型的基础上,情景假定资源税税率和相关参数,分别模拟了稀土和钨资源税对关税的等效替代作用[11,12,13]
由于卖方和买方的市场势力影响着矿产资源市场的演化[14],现有文献利用勒纳指数、边际成本加成、市场集中度、供给需求弹性以及剩余供给需求弹性等指标,测算了稀土等稀有金属矿产资源的市场势力。Zhang等运用修正后的勒纳指数测量了中国稀土产品在美国和日本的市场势力[15];Lerner构建了勒纳指数,以价格高出边际成本的程度来反映贸易方的市场势力[16];Hall在边际成本加成的基础上构建PCM模型,利用边际成本加成能力来反映市场势力[17];汪贵浦等以邮电通信行业为例,通过适当变换边际成本和实物量,得到一种能够直接计算勒纳指数的方法[18];Song等为反映贸易双方的市场势力,在RDE模型基础上提出了剩余供给弹性模型(RSE),并将RSE模型与RDE模型相结合构建了SMR模型[19];石秀华等从产业组织理论角度切入,利用市场集中度和勒纳指数分析研究了国际铁矿石的市场结构与市场势力[20]
以上文献为评价关税替代性的政策研究做出了如下贡献:为精确测算稀土等战略性矿产资源的外部性成本、相关市场势力的参数提供了方法和框架;为关税替代性政策评价构建了税收转嫁模型。但也存在如下缺陷与不足:第一,在研究关税替代性政策效果评估时只考虑了代际外部性成本的资源税政策对关税的替代,如杜凤莲等对稀土的研 究[11],朱学红等对钨矿的研究[12],没有考虑关税对环境外部性度量的功效,结果导致相关资源税与环境保护税税率设计脱离了现实情况,何欢浪等认为在未来的研究中,可将环境污染纳入考虑[21]。第二,在环境外部性成本测算方面,目前大部分研究都没有完成金属资源“从摇篮到坟墓”的生命周期评价,而是局限于某一特定的过程,对于全生命周期过程的影响评价,尤其是稀土矿业开采的土地使用和金属的使用阶段缺乏量化评估。第三,已有研究在利用税收转嫁模型分析资源税对关税替代效果时,资源税、市场势力的相关参数值都是外生给定的,忽略了不同真实市场势力值下其代际外部性成本和环境外部性成本具有不同的传递机制。
基于此,本文首先从全生命周期的完全成本视角出发,综合评估了稀土生命周期各环节排放污染造成的环境价值损失,从而测算出稀土开发的真实环境外部性成本,并结合稀土开发的代际外部性成本,将两者转换为从价计征改革的资源税税率和环境保护税率,设定真实的关税替代性税率。其次,构建变换后的勒纳指数、基于卖方视角的SMR模型测算稀土行业市场势力值,内生化税收转嫁模型中的相关参数值。最后,把真实税率和内生化参数嵌入税收转嫁模型中,真实模拟从价计征改革的资源税和环境保护税对关税的等效替代效果,为中国政府制定更为合规的资源政策和环境政策提供理论依据。

2 研究方法和数据来源

2.1 稀土开发的全生命周期完全成本模型

稀土开发的外部性成本包括代际外部性成本和环境外部性成本。在稀土开发的代际外部性成本补偿方面,2016年,财政部、税务总局发布有关资源税改革的通知,决定按照从价计征的方式对稀土征收资源税。轻稀土按地区执行不同的适用税率,其中,内蒙古为11.5%、四川为9.5%、山东为7.5%,中重稀土税适用税率为27.0% [1]。受限于轻稀土、重稀土数据的可获得性,本文并没有对轻、重稀土分开来核算环境外部性成本,而是从稀土整体来考虑环境保护税区间范围。依据财政部、税务总局资源税改革通知中轻稀土和中重稀土税上下限,设定稀土开发的代际外部性成本为稀土价格的7.5%~27.0%。
稀土的生命周期包括稀土开采、稀土冶炼、稀土金属压延加工制品和稀土废弃物回收等四个阶段。针对目前中国稀土开发过程中引起的环境外部性问题,采用环境外部性价值量直接核算的方法,综合评估稀土生命周期的各环节排放污染造成的环境价值损失,从而测算稀土开发的真实的环境外部性成本。具体的核算指标体系如表1所示。
Table 1 The indicator system of environmental external cost of rare earth exploitation

表1 稀土开发的环境外部性成本核算指标体系

生命周期 环节 环境外部性成本指标
稀土开采 混合型稀土矿 露采-磨浮 工业废水量、化学需氧量、工业固体废物(尾矿)、工业固体废物(其它)
氟碳铈矿 坑采-磨浮 工业固体废物(尾矿)
离子型稀土矿 原地浸出 工业废水量、化学需氧量、氨氮、森林植被恢复费
池(堆)浸 工业废水量、化学需氧量、氨氮、森林植被恢复费、土壤污染治理费、水土保持费
稀土冶炼 混合型
稀土精矿
硫酸焙烧-萃取转型-萃取分离 工业废水量、化学需氧量、氨氮、氟化物(液)烟尘、二氧化硫、氟化物(气)、工业固体废物(冶炼废渣)、HW14危险废物(新化学品废物)
硫酸焙烧-碳铵沉淀或盐酸优溶 工业废水量、化学需氧量、氨氮、氟化物(液)烟尘、二氧化硫、氟化物(气)、工业固体废物(冶炼废渣)、HW14危险废物(新化学品废物)
碱分解-盐酸优溶-萃取分离 工业废水量、氨氮、氟化物(液)、总磷、工业固体废物(冶炼废渣)、HW14危险废物(新化学品废物)
氟碳铈精矿 氧化焙烧-盐酸浸出-萃取分离 工业废水量、氨氮、氟化物(液)、总磷、烟尘二氧化硫、工业固体废物(冶炼废渣)、HW14危险废物(新化学品废物)
南方离子稀土精 盐酸溶解-P507/环烷酸(非氨皂)萃取分离 工业废水量、化学需氧量、铅、总磷、工业固体废物(冶炼废渣)
盐酸溶解-P507/环烷酸(氨皂)萃取分离 工业废水量、化学需氧量、氨氮、铅、工业固体废物(冶炼废渣)
稀土氧化物(合金制造) 熔盐电解 烟尘、氟化物(气)、工业固体废物(冶炼废渣)
稀土废弃物回收 稀土金属化物 碱培烧法、浓硫酸分解法等 工业废水量、二氧化硫、氟化物(气)

注:稀土金属压延加工制造属于高科技、多工序加工,目前数据不可获得,因此没有进行核算。

2.2 稀土市场势力模型

2.2.1 勒纳指数
运用勒纳指数测算稀土行业上游企业(开采和生产企业)市场势力。变量设定及变量相互关系设置如下:稀土上游企业总收入= 单个企业稀土总 产量×稀土国内单价;稀土上游企业不变价总收入= 单个企业稀土总产量×不变价稀土国内单价; T C t = i = 1 n C it Q it = C t Q t ,TCt为稀土上游企业t时期的总成本; MC = ΔT C t Δ Q t , MC 为稀土上游企业边际成本; T R t = i = 1 n P it Q it = P t Q t , T R t t 时期稀土上游企业总收入; T Y t = i = 1 n P if Q it = P f Q t , T Y t t 时期稀土上游企业不变价总收入。 P it P if C it 分别为稀土上游企业 i 在第 t 时期的当期价格、不变价格和当期成本; Q it 为企业 i t 期的稀土产量; Q t 为第 t 期稀土上游企业总产量; P t t 时期国内稀土当期平均价格; P f 为各期不变平均价格; C t t 时期稀土上游企业单位产量成本。根据以上变量,稀土行业上游企业市场势力的勒纳指数可表示为:
L = 1 - MC P t = 1 - T C t - T C t - 1 T Y t - T Y t - 1 × P f P t = 1 - T C t - T C t - 1 T Y t - T Y t - 1 × T Y t T R t (1)
2.2.2 SMR(Song-Marchant-Reed)模型
从2016年中国稀土出口国家和地区看,出口美国数量占30.28%,出口额占16.23%;出口日本数量占29.70%,出口额占37.71%;以美国为首的前12个主要稀土进口国从中国进口稀土产品的数量合计达到了94.13%,金额占87.77%。因此本文以美国、日本、荷兰、德国、韩国、印度、澳大利亚、巴西、加拿大、挪威、西班牙、英国12个中国稀土主要出口国为研究对象,对中国在稀土国际贸易中的市场势力进行测度。在模型应用方面,基于出口国的视角,从剩余需求出发,在Song等所运用的SMR模型[19]的基础上,构建基于卖方视角的SMR模型。设定稀土出口的中国为C;进口国为以上12个主要贸易国,用 j 表示;t代表时间。依据剩余需求理论,对于稀土出口国中国(C),面临来自稀土进口国 j 的剩余需求可以表示为:
R D jt c = D jt - ( S jt + CM Q jt imot h ) (2)
式中 D jt 表示 j t 时期国内稀土需求; S jt 表示 j t 时期国内稀土供给; CM Q jt imot h 代表 j t 时期从稀土出口国中国以外的其他国家进口稀土数量;此时剩余需求 R D jt c 则表示稀土出口国中国在 t 时期向进口国 j 国出口稀土的数量。 j 国在 t 时期对稀土的需求函数为:
D jt = D jt ( P jt i , ex , Z jt c ) (3)
式中 P jt i , ex 表示 j t 时期稀土的价格水平; D jt 表示 j t 时期在 P jt i , ex 价格水平上对稀土的需求; Z jt c 代表 j t 时期内部影响稀土需求的因素。
同理,可得 j 国在 t 时期稀土的供给函数为:
S jt = S jt ( P jt i , ex , Z jt s ) (4)
式中 S jt 代表 j t 时期在 P jt i , ex 价格水平下内部稀土供给。因此,出口国中国( C )在 t 时期面临来自稀土进口国 j 的剩余需求的反函数取对数得:
ln P jt i , ex = α 0 + α 1 lnR D jt c + α 2 ln Z jt c + α 3 ln Z jt s + α 4 lnCM Q jt imot h + ε (5)
式中 j t 时期稀土剩余需求 R D jt c 的系数为 α 1 ,是 j t 时期稀土反剩余需求函数的价格弹性,反映了稀土出口国中国在出口贸易中的价格加成能力,可以衡量中国稀土在国际贸易出口中的市场势力。
依据剩余需求模型,设置如下变量: CM P jt ex 为出口国中国( C t 时期向 j 出口稀土的价格; CM Q jt ex 为出口国中国( C t 时期向 j 出口稀土的数量; GD P jt j t 时期人均国内生产总值; IM P jt j t 时期国内稀土永磁体价格; SC P jt im j t 时期进口稀土价格; CM Q jt imot h j t 时期从其他国家进口稀土数量(依据 j t 时期稀土进口总量减去从中国进口数量),从而可得中国与12个主要稀土贸易国市场势力模型如下:
lnCM P jt ex = α 0 + α 1 lnCM Q jt ex + α 2 lnGD P jt + α 3 lnIM P jt + α 4 lnSC P jt im + α 5 lnCM Q jt imot h + ε jt (6)
公式(6)中变量 CM Q jt ex 系数 α 1 反映了出口国中国 t 时期在稀土国际贸易中的市场势力。

2.3 税收转嫁模型

2.3.1 供给价格弹性和需求价格弹性
根据税收转嫁理论,供给和需求价格弹性的存在使关税的转嫁能力无法完全释放,出口产品的实际价格与无关税时的价差为:
P b - P * t χ d b + d (7)
式中 P b 表示买方支付的价格; P * 表示未征收关税的价格; t 为对这一产品征收关税的税率; t χ 表示税率为 t 情形下对该产品征收的关税,当 P b - P s = t χ 成立时,政府的关税政策效果完全实现。 P s 表示卖方获得的税后净价;为简化分析过程,设定稀土供给和需求函数均是线性的,即 b = - ε D Q P , d = ε s Q P
2.3.2 不完全竞争垂直市场价格转移模型
本文依据Lloyd等学者提出的不完全竞争垂直市场价格转移模型,将其应用到金属资源外部性成本对出口价格影响中[22],设定如下变量: Q d 为稀土的需求量; P d 为出口价格; P S 为稀土的供给价格; Q S 为供给量; T 为稀土矿的外部性成本; θ 为下游稀土出口企业的市场势力; θ i 为下游稀土出口企业 i 的推测弹性; μ 为上游稀土开采和生产企业的市场势力; μ i 为上游稀土开采和生产企业 i 的推测弹性; M 为稀土出口商的边际成本; M i 为出口企业 i 的边际成本; ε s 为稀土的供给价格弹性; ε D 为需求价格弹性。
则稀土供给函数可表示为:
P s = k αf P d , T (8)
对行业内某个稀土出口企业 i 而言,利润 π i 可表示为:
π i = P d ( Q d ) Q di - P s ( Q s ) Q si - C i ( Q di ) (9)
C i 为该企业的其他成本,根据企业利润最大化的实现条件得:
P d + P d Q d Q d Q di Q di = P s α - P s Q s Q s Q si α Q si + C i Q di (10)
以稀土出口商为研究对象,则其出口的推测弹性 θ i 越大,表明稀土出口商 i 的垄断势力越强;上游稀土开采和生产企业的推测弹性 μ i 越高,上游稀土开采生产企业垄断势力越强;该稀土出口商的边际成本 M i = C Q i ,国外稀土进口商的需求价格弹性 ε D 越大,表明国外稀土进口商的垄断势力越强;上游稀土企业的供给价格弹性 ε s 越大,表明稀土开采生产企业垄断势力越强。则用弹性表达式可将 i 企业的利润 π i 表示为:
P d 1 - θ i ε D = P s 1 + μ i 1 ε s + M i (11)
假设行业内共有 n 个稀土生产企业,则行业总利润即可表示为:
P d 1 - θ ε D = P s α 1 + μ 1 ε s + M (12)
先对公式(8)取对数,再对其等式两边求外部性成本 T 的微分,结果如下:
dln P d = - λ ε D ε s dln P s + εδdlnT + ηB N dln P s (13)
其中: λ = ωθ ε D - θ , ω = ln ε D ln P s , ε = θξ ε D - θ , ξ = lnθ ln Q d , δ = ln Q d lnT , γ = ln ( 1 / ε s ) ln P s , η = α P s M + α P s , B = 1 + μ ( 1 + γ ) ε s , N = 1 + ημ ε s
对公式(12)两边取对数,再对其求关于 T 的微分,得:
dln P s = - αdln P d ε s + δdlnT ε s (14)
联立公式(13)、公式(14)得出稀土外部性成本补偿价格传递弹性表达式 ρ 为:
ρ = dln P d / d lnT dln P s / dlnT = εN + ( 1 / ε s ) ηB + λN / ε D N ( 1 / ε s ) ( 1 - 2 λ - αε ) (15)
公式(15)反映了稀土价格与出口价格之间变动的比例关系。为简化分析过程,再做如下假设:稀土出口商的边际成本 M = 0 ,稀土的供给和需求弹性均为线性,即 ω = 1 + α , γ = 1 - β / β ,代入公式(15):
ρ = εN + ηB / ε s + λN / ε D N 1 - ε s ε ) / ε s = ( 1 + μ ) ( ε D - θ ) / ε s + θ ( 1 + μ / ε s ) ( 1 + ε D ) / ε D ( 1 + μ / ε s ) ( ε D - 2 θ ε D - 3 θ ) / ε s (16)

2.4 数据来源和说明

本文的实证分析采用了2001—2016年稀土相关数据,数据来源如下:
(1)稀土环境外部成本的生命周期评估模型。结合稀土在开采、加工过程中所带来的环境污染与生态破坏成本,参见国家《排污费征收使用管理条例》[23]、《中华人民共和国水土保持法实施条例》[24]有关规定以及笔者整理的内部数据,计算出生产一吨稀土带来的生态补偿成本。
(2)勒纳指数和SMR模型。稀土企业总收入和成本数据来自《中国有色金属工业年鉴》[25]、《中国统计年鉴》[26]以及中国工业企业数据库[27]和笔者整理的内部数据。中国稀土下游企业的市场势力是根据中国与12个进口国的稀土国际贸易量来计算的。该模型中使用的数据是2001—2016年的年度数据,主要来自中国海关数据[28],WIND数据库[29],中国有色金属工业协会[30]和世界贸易数据库[31]
(3)税收转嫁模型。稀土产品的出口价格和出口量主要来自中国海关统计数据[28],稀土收购价格和稀土加工企业数量主要来自WIND数据库[29]和中国有色金属工业协会[30]

3 结果分析

3.1 稀土开发的外部性成本

根据表1稀土开发的环境外部性成本核算指标体系,选取2001—2016年各指标值,在不考虑其他因素影响情况下,根据价值量直接核算的方法,计算出稀土开发的环境外部性成本占稀土售价比的平均值为21%,结果如表2
Table 2 Environmental external cost of rare earth and proportion of its prices from 2001 to 2016

表2 2001—2016年稀土开发的环境外部性成本及占稀土售价比

年份 2001 2002 2003 2004 2005 2006 2007 2008 2009
环境外部性成本/亿元 46.99 56.76 59.21 61.04 65.35 71.01 61.54 61.36 63.32
稀土单价/元/kg 188 207 225 250 275 280 215 250 280
环境成本占比/% 0.25 0.28 0.27 0.25 0.20 0.19 0.24 0.20 0.17
年份 2010 2011 2012 2013 2014 2015 2016 均值
环境外部性成本/亿元 46.01 45.02 37.9 41.32 41.93 39.72 36.16 52.17
稀土单价/元/kg 305 225 400 280 260 235 225 256
环境成本占比/% 0.16 0.24 0.12 0.18 0.20 0.21 0.20 0.21
本文假定代际外部性成本和环境外部性成本传递到稀土价格上的机制是一样,那么在统一度量单位情况下,同时考虑稀土开发的代际外部性成本和环境外部性成本,那么资源税和环境保护税的加权税率区间为28.5%~48.0%。所以在分析关税替代政策情景假定的税率取值应该落在28.5%~48.0%的区间范围内。

3.2 稀土行业市场势力

3.2.1 稀土行业上游企业市场势力
根据勒纳指数的计算公式,选取2001—2016年中国稀土产量、当年价格、不变价格(2001年稀土不变单价)、当年总成本数据,对中国稀土上游企业市场势力值进行估算。如表3所示,本文将计算结果划分为出口鼓励阶段、关税政策调整期、关税政策稳定期(15%~20%关税)三个时期。
Table 3 The market power of upstream enterprises of Chinese rare earth from 2001 to 2016

表3 2001—2016年中国稀土上游企业市场势力测算结果

阶段 年份 稀土上游企业市场势力
出口鼓励阶段 2001—2004 1.0
关税政策调整期 2005—2008 0.8
关税政策稳定期
(15%~20%关税)
2009—2016 1.2

注:2015年关税政策取消,在不影响市场势力测算结果情况下,将2016年数据合并到关税政策稳定期中。

依据Hall[17]的分类方法,当某行业市场势力值( μ )<1.2时,表明该行业市场势力很弱;当1.2< μ <2时,表明该行业市场势力较强;当 μ >2时,才表明行业市场势力强。由表3可以看出,中国稀土上游企业市场势力整体上有上升的趋势,但市场势力值都小于1.2,这表明中国稀土上游企业市场势力仍比较微弱。
3.2.2 稀土行业下游出口企业市场势力
本文采用Stata14软件基于拓展的SMR模型和中国与美国、韩国及澳大利亚等12个稀土贸易国2001—2016年的面板数据,测度中国稀土在出口鼓励阶段、关税政策调整期、关税政策稳定期(15%~20%关税)三个时期的出口市场势力值。
表4的回归结果显示,中国稀土下游出口企业的市场势力值在出口鼓励阶段、关税政策调整期、关税政策稳定期分别为0.10、0.20、0.40,这表明中国对稀土出口的限制措施一定程度上增大了中国稀土下游出口企业的市场势力,并且15%~20%的关税政策效果最明显。结合稀土上游企业市场势力( μ )测算结果可以看出,2001—2016年中国稀土行业上下游企业市场势力虽然都有增大的趋势,但都比较微弱,稀土生产大国并没有相应的市场定价能力。
Table 4 The market power of downstream enterprises of Chinese rare earth from 2001 to 2016

表4 2001—2016年中国稀土下游出口企业市场势力测算结果

阶段 年份 模型参数 估计值 标准差
出口鼓励阶段 2001—2004 下游出口企业市场势力(α1 0.1* 0.132
关税政策调整期 2005—2008 下游出口企业市场势力(α1 0.2* 0.127
关税政策稳定期(15%~20%关税) 2009—2016 下游出口企业市场势力(α1 0.4*** 0.105

注:***、**、*分别表示在1%、5%、10%的显著性水平下显著。

3.3 关税、外部性成本对稀土出口价格的影响

3.3.1 征收关税对稀土出口价格的影响
本文根据稀土2001—2016年的产量和价格,计算其需求价格弹性和供给价格弹性,该部分仅呈现2001—2016年奇数年的数据,结果如图1所示。除个别年份异常值波动外,中国稀土的供给价格弹性在0.01~0.51之间,表明稀土供应商对市场价格的反应不敏感,市场垄断力比较微弱;稀土的需求价格弹性在1.03~11.05之间,富有弹性,表明稀土的国外进口商垄断势力较强。
Figure 1 The supply and demand price elasticity of rare earth from 2001 to 2016

图1 2001—2016年稀土供需价格弹性

考虑到中国对稀土开采、出口环节管制的加强,未来稀土行业市场会渐趋垄断,稀土供给价格弹性有增大的趋势。为提高模型测算结果的准确性,本文设置0.01、0.10、0.20、0.30、0.50、0.70、1.00、1.50、2.00共9个供给价格弹性值( ε S ),而稀土的需求价格弹性普遍较大,为简化分析,在此将需求弹性值设定为2,即富有弹性。该部分仅呈现2001—2016年奇数年的数据,如图2所示。
Figure 2 The rising ratio of rare earth’s export prices with 20% tariff levied under different supply elasticity(εD=2)

图2 不同供给弹性下征收20%关税导致稀土出口价格上升的比率(εD=2)

图2可知,对稀土征收20%的关税时,在需求弹性 ε D = 2 的情况下,供给弹性越大,关税的转嫁幅度也逐渐增大。同时,供给富有弹性或者单位弹性( ε S 1 )情形下征收关税导致出口价格上升的比例明显高于供给缺乏弹性情形( ε S < 1 )。综合分析,当稀土供给完全富有弹性时,供给量能够对价格的微小变化迅速做出反应,此时征收关税导致价格的提高将全部由国外稀土进口商承担。当供给弹性大于需求弹性时,关税对价格的提高会向国外进口商转移;反之,则向国内生产商转移。
3.3.2 外部性成本对稀土出口价格的影响
(1)外部性成本对稀土出口价格影响的数值模拟。依据等式(16)可知, ρ 值与 ε D ε s μ θ 相关。本部分将所测 μ θ ε s ε D 参数值嵌入税收转嫁模型中,对2001—2016年中国稀土外部性成本传递情况进行实证模拟。由于国外稀土进口商需求弹性基本都大于1.5,在不影响结果情况下,在此将需求弹性值设定为2。表5为中国2001—2016年各奇数年的稀土外部性成本传递弹性。
Table 5 Transfer table of external cost of China’s rare earth from 2001 to 2016(εD=2)

表5 2001—2016年中国稀土外部性成本传递表(εD=2)

年份 2001 2003 2005 2007 2009 2011 2013 2015
供给弹性εS 0.01 0.50 2.53 0.07 0.06 0.70 0.17 0.10
上游μ 0.1 0.1 0.2 0.2 0.4 0.4 0.4 0.4
下游θ
1 0.03
1 1.03
0.8 5.37
0.8 0.47
1.2 -0.25
1.2 -2.15
1.2 -0.67
1.2 -0.41
2001—2008年稀土外部性成本传递弹性值为正,且不断增大。正值表示稀土价格与出口价格呈同方向变动趋势,对稀土征收资源税和环境保护税使出口价格相应提高。这是由于中国稀土行业企业市场势力在增强,外部性成本转嫁幅度增大,外部性成本更容易传递到国际市场。2009—2016年外部性成本传递弹性为负,即稀土原矿价格较低,但出口价格反而高。这是由于中国稀土出口企业市场势力在增大,从而增强了在国际贸易中的话语权。
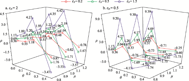
在测算出各年外部性成本传递弹性基础上,为从比较中发现普遍规律,对各参数情景模拟以下虚拟值。供给弹性 ε s 以上文测算结果为准,取值0.01、0.1、0.2、0.3、0.5、0.7六个值,考虑到未来稀土供给弹性会增大,增设1、1.5、2三个数值;考虑到未来需求弹性 ε D 可能会减小, ε D 在取值为2基础上增设0.5;上游企业市场势力取真实值0.8、1、1.2;下游出口企业市场势力在0.1、0.2、0.4基础上增设0.0。该部分仅呈现供给弹性为0.2、0.5和1.5三种情形下的稀土外部性成本传递弹性,具体数据结果如图3所示。图3a为需求弹性等于2的情形,图3b为需求弹性等于0.5的情形。
Figure 3 The transfer elasticity of external cost of rare earth

图3 稀土外部性成本传递弹性

(2) ε D 变化引起 ρ 变动分析。由式(16)可知, ρ 的正负与 ε D - 2 θ ε D - 3 θ 有关,当 ε D = 2 时, ρ 的正负由 θ 决定。当 ρ = 0 时, θ = 2 / 7 。结合表6的变化趋势和规律可知:
Table 6 The equivalent replacement tax between external cost and 20% tariff of rare earth

表6 稀土资源外部性成本对20%关税等效替代税率

外部性成本对关税等效替代税率(εD=2) 外部性成本对关税等效替代税率(εD=0.5)
供给弹性εS 上游μ 0.8 1.0 1.2 0.8 1.0 1.2
下游θ
0.2 0.00 31.00 33.48 35.51 31.00 33.48 35.51
0.2 0.10 20.32 21.87 23.13 5.47 5.77 6.01
0.2 0.20 9.46 10.15 10.70 - - -
0.5 0.00 21.12 21.93 22.59 21.12 21.93 22.59
0.5 0.10 13.67 14.17 14.57 3.42 3.51 3.58
0.5 0.20 6.28 6.50 6.67 - - -
1.5 0.00 14.96 14.63 14.37 14.96 14.63 14.37
1.5 0.10 9.30 9.11 8.96 1.91 1.89 1.87
1.5 0.20 4.11 4.04 3.98 - - -

注:税率为负值时不符合实际情况,在此用”-”表示。

① 当 θ 2 / 7 时,给定 μ θ ε D 值,随着供给弹性 ε s 的增大,稀土弹性 ρ 也增大,且弹性值为正。说明对稀土征收资源税和环境保护税,稀土的代际外部性成本和环境外部性成本都能够转嫁到稀土的出口价格上。而当 ε s 一定, θ 从0.0增大到0.2时,稀土外部性成本的转嫁幅度增大,这是由于中国稀土出口企业市场势力增强,稀土的外部性成本更容易通过出口转移到国际市场。
② 当 θ > 2 / 7 时,同样给定 μ θ ε D 值, ρ 值为负。即由于 θ 的增大,稀土出口商以较低的价格购得原矿,加工后的出口价格却很高。这是因为中国稀土出口企业市场势力增强,从而提升了其在国际贸易中的定价话语权。
通过将 ε D = 2 ε D = 0.5 (当 ε D = 0.5 时,结论与 ε D = 2 相同,在此省略)两种情形下, θ 取不同值的对比分析可以发现:当中国稀土出口企业市场势力增大时,对稀土征收资源税和环境保护税,稀土的代际外部性成本和环境外部性成本不仅更容易通过出口转移到国际市场,增大出口企业盈利空间,而且也会增强中国稀土出口企业在国际市场上的定价话语权。区别在于, μ θ ε D 一定时, ε D = 0.5 情形下 ρ 的变动幅度大于 ε D = 2 的情形,表明国外稀土进口商需求弹性的减小有利于稀土外部性成本通过出口传递到国际市场。
(3) μ 变化引起 ρ 变动分析。当 ε s = 1 时,给定 θ ε D 值, μ 的变化不会引起 ρ 变动,而在 ε s > 1 ε s < 1 两种情况下, μ 的变动所引起 ρ 变动方向相反,因此以 ε s = 1 作为分析的分类标准。结合图3的变化趋势和规律可知:
① 当 ε s < 1 时,给定 θ ε s ε D 值,随着 μ 的增大, ρ 值不断减少。这是是因为:对稀土征收资源税和环境保护税会提高稀土价格,在上游企业市场势力增强,而下游出口企业市场势力不变情况下,中国稀土在国际贸易中就缺乏话语权,此时稀土外部性成本会加大下游出口企业压力,不利于其发展。
② 当 ε s > 1 时,随着 μ 的增大, ρ 值不断增大。与 ε s < 1 的情形相比,由于稀土出口企业供给弹性 ε s 较大,稀土外部性成本更容易转嫁到国际市场,因此,对国内稀土出口企业影响不大,中国稀土的国际市场上的定价能力得以体现。

3.4 税收转嫁模型下稀土外部性成本对关税的替代性效果分析

基于稀土外部性成本的测算,分析稀土从价计征资源税和环境保护税对15%关税的等效替代作用。以供给弹性 ε s = 0.2 为例,图2中对稀土征收20%的关税导致出口价格平均上升11.16%,图3中,当 ε s = 0.2 , μ = 0.8 , θ = 0.2 时,对稀土征收1%的总税率会使出口价格上升1.18%。也就是说,要达到20%的关税政策替代性效果,需要对稀土征收9.46%的资源税和环境保护税。同样的方法,就可以计算出0.01、0.1、0.2、0.3、0.5、0.7、1、1.5、2等9个弹性值所对应的外部性成本等效替代税率。该部分仅呈现供给弹性为0.2、0.5和1.5三种情形下的外部性成本对关税的等效替代情况,数据结果如表6所示。
结合表6的变化趋势和规律可知:
(1)在 μ θ ε D 一定时, ε s 越大,20%关税的等效资源税和环境保护税之和越高。这是由于,在出口企业供给弹性 ε s 增大的情况下,关税对出口价格的提升作用更明显,相应稀土的资源税和环境保护税就越高。
(2)在 μ ε s ε D 一定时, θ 越大,20%关税的等效资源税和环境保护税之和越低。这是因为出口企业的市场势力增大,稀土的代际外部性成本和环境外部性成本更容易转移到国际市场。
(3)在 θ ε s ε D 一定时:当 ε s < 1 情况下,随着 μ 的增大,资源税和环境保护税对关税的等效替代税率越高;当 ε s > 1 情况下,结果相反。这是由于在上游企业市场势力增大时,稀土代际外部性成本和环境外部性成本容易通过上游生产加工企业转移给下游出口企业。若下游出口企业市场势力较小,则稀土代际外部性成本和环境外部性成本很难传递;反之,则传递效果就很明显。
(4)在 μ θ ε s 一定时, ε D 越小,资源税和环境保护税对20%的关税等效替代税率就越小。这是因为国外进口商需求弹性减小,有利于稀土代际外部性成本和环境外部性成本通过出口环节转移到国际市场上,从而让国外产生厂商分担相关外部性成本。

4 结论及政策启示

本文从生命周期的完全成本视角出发,综合评估了稀土生命周期的各环节排放污染造成的环境价值损失,从而测算出稀土开发的真实的环境外部性成本,并结合稀土开发的代际外部性成本,得到稀土开发的全部外部性成本。在外部性成本内部化视角下,通过内生化稀土税收转嫁模型的相关参数,评价了资源税与环境保护税对关税的替代效果,获得如下结论和政策启示。
(1)从稀土全生命周期完全成本视角,测算出稀土代际外部性成本和环境外部性成本的理论税率区间为28.5%~48.0%,与发达国家平均30%的资源税率相比比较接近。所以相比以往研究发现,该税率区间既考虑了以资源耗竭为主的资源税又考虑了稀土开发利用的环境保护税,真正实现了外部性成本内部化。在利用资源税与环境保护税替代关税实现外部成本显性化的基础上,又避免了直接出口管制等国际贸易中的敏感性问题。
(2)构建变换后的勒纳指数、基于卖方视角的SMR模型测算出中国稀土上游企业三个时期的市场势力值分别为1.0、0.8、1.2,下游企业三个时期的市场势力值分别为0.1、0.2、0.4。这意味着稀土资源税和环境税更容易通过出口转移到国际市场,有利于提升中国在国际市场上的定价能力。此外,要从根本上改变现有稀土下游产业基本上为发达国家所垄断的局面,可以采取研发补贴、制定稀土新材料产业规划等,鼓励稀土龙头企业进入稀土市场的高端应用领域,增加产品的附加值。
(3)根据代际外部性成本与环境外部性成本传递机制,即外部性成本对稀土出口价格的影响及税收分担与各种弹性系数大小有关。在“上游稀土生产供给价格弹性渐趋增大,下游稀土加工产品需求价格弹性逐渐减小”的稀土市场产业市场结构下,资源税和环境保护税在提高中间产品价格的作用上效果将更加显著(代际外部性成本与环境外部性成本很容易传递到价格上),这样较大部分的资源税和环境保护税负(代际外部性成本与环境外部性成本)将由下游发达国家厂商承担。所以在中国稀土行业供给侧结构性改革情况下,不应该担心从价计征改革的资源税和环境保护税会提高企业的成本,按照实际客观情况实施新的资源税和环境保护税,但是要防止下游发达国家稀土厂商通过稀土最终产品消费把相关外部成本向国内再一次转移。

The authors have declared that no competing interests exist.

[1]
财政部, 税务总局. 关于全面推进资源税改革的通知, 财税[2016]53号文件[R/OL]. 2016.

[The ministry of finance, general administration of taxation. Notice of the comprehensive promotion of resource tax reform, fiscal and taxation [2016] no. 53[R/OL].

[2]
财政部、税务总局、环境保护部. 三部门部署环境保护税开征准备工作.[R/OL].

[Ministry of finance, state administration of taxation, and environmental protection department. The three departments shall deploy the environmental protection tax.[R/OL].

[3]
Pigou A. C. ,1928. A Study in Public Finance[M]. 3rd Edition, London: Macmillan.

[4]
Toman M.Special section: forum on valuation of ecosystem services: why not to calculate the value of the world’s ecosystem services and natural capital[J]. Ecological Economics, 1998, 25(1): 57-60.

[5]
徐辉, 蒲志仲. 矿产资源开发利用的生态环境价值补偿研究[J]. 生态经济, 2014, 30(02): 135-138.

[Xu H, Pu Z Z.Study on ecological environmental value compensation of mineral resources[J]. Ecological Economy, 2014, 30(02): 135-138. ]

[6]
刘立佳. 基于可持续发展视角的资源税定位研究[J]. 资源科学, 2013, (01): 74-79.

[Liu L J.Resources tax in China and sustainable development[J]. Resource science, 2013, (01): 74-79. ]

[7]
张文霞, 管东生. 生态系统服务价值评估: 问题与出路[J]. 生态经济(学术版), 2008(01): 28-31+36.

[Zhang W X, Guan D S. Evaluation of ecosystem services: problem and outlet [J]. Ecological Economy, 2008(01): 28-31+36. ]

[8]
马国霞, 朱文泉, 王晓君, 等. 2001—2013年我国稀土开发生态环境成本评估[J]. 自然资源学报, 2017, 32(07): 1087-1099.

[Ma G X, Zhu W Q, Wang X J, et al. The environmental cost assessment of China's rare earth resources development in 2001-2013[J]. Journal of Natural Resources, 2017, 32(07): 1087-1099. ]

[9]
曾先峰, 李国平, 汪海洲. 基于完全成本的碳酸稀土理论价格研究——兼论中国稀土资源定价机制改革[J]. 财经研究, 2012, 38(09): 134-144

[Zeng X F, Li G P, Wang H Z.Theoretical price of rare earth carbonate based on full cost: analysis on the reform of pricing mechanism of rare earth resources in China[J]. Journal of Finance and Economics, 2012, 38(09): 134-144]

[10]
何欢浪. 下游进口国家的稀土储备与我国稀土出口政策[J]. 财经研究, 2014, 40(04): 56-65.

[ He H L.Rare earth reserves of downstream importing countries and rare earth export policy in China[J]. Journal of Finance and Economics, 2014, 40(04): 56-65]

[11]
杜凤莲, 王媛. 战略性资源关税的替代性政策研究—以稀土出口为例[J]. 经济科学, 2015(3): 67-76.

[Du F L, Wang Y. Research on alternative policy of strategic resource tariffs -- take rare earth exports as an example[J]. Economic Science, 2015(3): 67-76. ]

[12]
朱学红, 樊玉林, 钟美瑞. 优势稀有金属关税的替代性政策效果评价及对定价权的影响分析[J]. 国际贸易问题, 2016, (12): 107-118.

[Zhu X H, Fan Y L, Zhong M R.The evaluation of rare metal minerals tariffs’ alternative policy and its effect on the pricing power[J]. Journal of International Trade, 2016, (12): 107-118. ]

[13]
王正明, 张许静. 稀土税对“寡头”国出口市场势力的影响研究[J]. 经济经纬, 2012 (2): 52-55.

[Wang Z M, Zhang X J. Research into the effect of rare earth resource tax on the export market power of “oligarch” country[J]. Economic Survey, 2012(2): 52-55. ]

[14]
陶建格, 沈镭. 矿产资源价值与定价调控机制研究[J]. 资源科学, 2013, (10): 1959-1967.

[Tao J G, Shen L.The value of ore resources and pricing regulation mechanisms[J]. Resources Science, 2013, (10): 1959-1967. ]

[15]
Zhang L, Qing G, Zhang J, et al. Did China's rare earth export policies work? Empirical evidence from USA and Japan[J]. Resources Policy, 2015, 43: 82-90.

[16]
LERNER A P.The Concept of Monopoly and the Measurement of Monopoly Power[M]//Readings in Welfare Economics. Macmillan Education UK, 1973: 1-19.

[17]
HALL R E.The relation between price and marginal cost in US industry[J]. Journal of Political Economy, 1988, 96(5): 916-951.

[18]
汪贵浦, 陈明亮. 邮电通信业市场势力测度及对行业发展影响的实证分析[J]. 中国工业经济, 2007(1): 23-30.

[Wang G P, Chen M L. The measurement of market power and its influence to development of post and telecommunication industry in China[J]. China Industrial Economy, 2007(1): 23-30. ]

[19]
SONG B, MARCHANT M A, REED M R, et al. Competitive analysis and market power of China's soybean import market[J]. International Food and Agribusiness Management Review, 2009, 12(1): 1416-1426.

[20]
石秀华, 万瑒. 基于市场结构与市场势力视角的铁矿石市场研究[J]. 金属矿山, 2014, (07): 56-60

[Shi X H, Wang X.Research of iron ore market based on market structure and market power[J]. Metal Mine, 2014, (07): 56-60]

[21]
何欢浪, 陈琳. 纵向关联市场、资源税改革和中国稀土出口——对资源从量税和从价税实施效果的评估[J]. 财经研究, 2017, 43(07): 95-106.

[He H L, Chen L.Vertical related markets, resource tax reform and the export of China’s rare earth: evaluation of implementation effect of volume-based and ad walorem tax of resources[J]. Journal of Finance and Economics, 2017, 43(07): 95-106.

[22]
Lloyd T, Mccorriston S, Morgan W, et al. Price Transmission in Imperfectly Competitive Vertical Markets [R]. University of Nottingham Discussion Papers in Economics, 2004(5): 4-9.

[23]
中华人民共和国环境保护部. 排污费征收使用管理条例[EB/OL].[2003-01-02].

[Ministry of Environmental Protection of the People's Republic of China. Sewage charges levied on the use of management regulations [EB/OL].[2003-01-02]

[24]
中华人民共和国中央人民政府. 中华人民共和国水土保持法实施条例[EB/OL].[2011-01-08]

[Central People's Government of the People's Republic of China. Soil and Water Conservation Law Enforcement Ordinance of People's Republic of China[EB/OL].[2011-01-08]

[25]
中国有色金属工业协会. 中国有色金属工业年鉴[M]. 北京: 《中国有色金属工业年鉴》社, 2001-2016.

[China nonferrous metals industry Association. The yearbook of nonferrous metals industry of China[M]. Beijing: The press of yearbook of nonferrous metals industry of China. 2001-2016. ]

[26]
中华人民共和国国家统计局. 中国统计年鉴2001-2016[M]. 北京: 中国统计出版社, 2001-2016.

[National Bureau of Statistics of the People’s Republic of China. China Statistical Yearbook 2001-2016 [M]. Beijing: China Statistics Press, 2001-2016]

[27]
中华人民共和国国家统计局. 中国工业企业数据库[EB/OL].[2017-05-22].

[National Bureau of Statistics of the People’s Republic of China. China industrial enterprise database [EB/OL].[2017-05-22].

[28]
全国海关信息中心. 海关信息网[EB/OL].[2017-05-28].

[National Customs Information Center. Customs Information Network [EB/OL].[2017-05-28]

[29]
Wind. Wind资讯经济数据终端[EB/OL].[2017-05-08].

[Wind. Wind Information Economic Data Terminal [2017-05-08]. . Wind Information Economic Data Terminal [2017-05-08].

[30]
中国有色金属工业协会. 矿产资源[EB/OL].[2017-06-20].

[China Nonferrous Metals Industry Association. Mineral resources [EB/OL].[2017-06-20].

[31]
联合国统计署. 世界贸易数据库[EB/OL].[2017-06-22].

[UN Statistical Commission. World Trade Database [EB/OL].[2017-06-22].

Outlines

/