Orginal Article

Vertical distribution characteristics of land use in Guizhou and Guangxi Karst Mountainous region based on terrain differentiation indicators

  • ZHANG Hongqi , 1 ,
  • SHANG Erping 1, 2 ,
  • YU Zhuxiao 1, 2
Expand
  • 1. Key Laboratory of Land Surface Pattern and Simulation,Institute of Geographic Sciences and Natural Resources Research,Chinese Academy of Sciences,Beijing 100101,China
  • 2. University of Chinese Academy of Sciences,Beijing 100049,China

Received date: 2017-08-23

  Request revised date: 2017-09-15

  Online published: 2017-10-20

Copyright

《资源科学》编辑部

Abstract

Previous studies have quantitatively characterized the relationship between land use and topographical factors using statistical terrain features of a whole study area. This does not reveal the spatial terrain distribution of land use. Based on spatial techniques,here we constructed terrain differentiation indicators,including elevation differentiation index and slope differentiation index to quantify the spatial difference of terrain gradient characteristics. Taking the Guizhou and Guangxi Karst Mountainous Region as our study area,terrain differentiation indicators were applied to explore the spatial terrain gradient characteristics of different land uses. Arable land,water body and construction land are primarily located in the low elevation area. The distribution of the forest and grassland is relatively even across different elevation classes. Arable land,water body and construction land are primarily located in low-lying areas,but steep areas are covered by forest and grassland. Using terrain differentiation indicators,it found that most of those for arable land,water body and construction land are smaller than one,indicating that these land use types tended to be located in areas with relative low altitude and slight slopes. In contrast,terrain differentiation indicators of forest and grassland were mostly larger than one,meaning that they tended to be located in areas with a high-altitude and steep slope. With increasing elevation,terrain differentiation indicators of arable land and construction land increased. This implies that the proportions of arable land and construction land located in high-altitude and steep areas increased. A higher intensity of land resource development to high-altitude and steep slope areas in counties (cities)of higher average altitude. Terrain differentiation indicators provide a quantitative method that supports the results of traditional statistical analysis and reveals local relative differences in the vertical distribution of land use.

Cite this article

ZHANG Hongqi , SHANG Erping , YU Zhuxiao . Vertical distribution characteristics of land use in Guizhou and Guangxi Karst Mountainous region based on terrain differentiation indicators[J]. Resources Science, 2017 , 39(10) : 1964 -1974 . DOI: 10.18402/resci.2017.10.15

1 前言

国际全球环境变化人类行为计划和国际地圈生物圈计划的共同执行计划LUCC(Land Use and Land Cover Change)[1]以及后续计划GLP(Global Land Project)[2]的实施,极大促进了土地科学相关研究的发展,深入研究了土地利用/覆被分布及其变化的影响因素[3-5]。地形作为自然环境的一个重要因素,对区域内水、热、养分起到再分配的作用,深刻影响着人类利用土地的方式和程度,是决定区域土地利用空间格局的关键因素之一[6,7]。因此,分析土地利用/覆被格局随地形分布的变化,有助于理解区域生态现象和过程、土地利用/覆被格局的规律性。
国内外学者通过GIS空间分析技术和数字高程模型DEM数据,可以快速提取各土地利用类型所在的海拔、坡度和坡向等各地形因子信息,以对地形因子与土地利用的关系进行定量刻画和研究[7-10]。值得注意的是,任何因子对土地利用分布及其变化的影响应放在特定的尺度中具体分析[11,12],秦鹏等研究发现地形因素对土地利用的影响随着空间分析单元的变化而不同[13]。然而,目前的研究多是以整个研究区来统计和分析两者的关系,如梁发超等研究湖南省浏阳市土地利用的地形梯度特征[9],李飞等分析科尔沁左翼中旗不同地形因子上居民点分布的差异[10],冯朝阳等分析京西门头沟区地形因子对土地利用的影响[14],崔卫国等研究醴陵市土地利用与地形因子的关系[15],李丹等分析重庆市忠县土地利用在不同地形因子影响下的布局差异[16],斯钧浪等研究胶东山区土地利用在地形梯度上的分布特征[17]。上述研究皆难以揭示土地利用垂直分异特征在不同空间位置上的差异,尤其是在大中尺度(如青海湖流域[18]、长江上游[19]和西双版纳地区[20])研究中,采用上述分析方法更容易忽略局部区域土地利用垂直分布的空间信息。因此,本研究以黔桂喀斯特山地为例,通过构建地形分异指数,刻画土地利用的垂直分异特征,以有利于地形因子对土地利用分布影响的深入研究。

2 研究区概况、数据来源与研究方法

2.1 研究区概况

本研究选取的黔桂喀斯特山地范围[21],主要参考中国国家自然地图集[22]中的华南喀斯特地形图及亚洲喀斯特地形分布图。该区覆盖贵州省和广西省的大部,面积约为21.41万km2,位于22°8'54"N-28°12'27"N,104°18'27"E-110°20'40"E之间(图1)。水系为长江和珠江上游的支流,包括三岔河、鸭池河、清水江、南盘江、红水河、柳江、郁江和黔江等众多支流。海拔为0~2848m,从西北向东南逐渐降低,地势以中小起伏的山地类型为主;地形从中山丘陵逐步过渡到低山盆地;喀斯特地貌类型从贵州高原的峰丛地貌,逐渐过渡到广西丘陵平原的峰林地貌。行政区划上包括贵阳、六盘水、安顺和河池的全部地区,黔西南、黔南、毕节、百色、柳州、来宾、贵港、崇左和南宁的大部份地区,以及铜仁、遵义和黔东南的小部份地区。
Figure 1 Location and scope of Guizhou and Guangxi Karst Mountainous Region

图1 中国黔桂喀斯特山地位置和分布范围

2.2 数据来源

土地利用矢量数据(2015年)来自中国科学院资源环境科学数据中心[23],包括耕地、林地、草地、水域,城乡工矿及居民用地(以下统称建设用地)和未利用地等6个类别;数字高程模型DEM数据为30m的GDEM数据,来自地理空间数据云[24];基于ArcGIS10.2的地形分析工具,利用DEM数据可获取坡度分布图。

2.3 研究方法

2.3.1 地形分级标准
基于GIS的空间叠置分析,结合土地利用图、海拔分布和坡度分布图,可分析研究区的土地利用垂直分布特征。其中,本文划分海拔标准以200m为一个等级,依次递增,包括0~200m、200~400m、400~600m、600~800m、800~1000m、1000~1200m、1200~1400m、1400~1600m、1600~1800m和1800m以上等共10个等级;坡度则是按照水利部提出的坡度分级标准,分别是0~5º、5~8º、8~15º、15~25º、25~35º以及35º以上等6个等级。
2.3.2 地形分异指数
不同区域土地利用格局在垂直分布的差异,首先受约束于该区域本身所处的地形特征。例如,分布在高山地区地势较低的土地利用单元,其海拔仍高于丘陵地区地势较高的土地利用单元。如果进行全区的统计,按照本文制定的海拔分级标准,则不同地区的土地利用垂直分异特征会被掩盖而难以揭示。因此,本研究基于尺度效应的考虑,提出地形分异指数,用以衡量土地利用垂直分布在局部的相对差异,针对海拔和坡度,可分别按照下列公式进行计算:
F E = E i E ̅ (1)
式中 F E 为海拔分异指数; E i 为任意土地利用栅格单元所在的海拔; E ̅ 为该栅格所在一定范围内的平均海拔。
F S = S i S ̅ (2)
式中 F S 为坡度分异指数; S i 为任意土地利用栅格单元所在的坡度; S ̅ 为该栅格所在一定范围内的平均坡度。
E ̅ S ̅ 可按照规则形状(如n×m窗口等),或者不规则形状(如子流域或县域单元等)等方式进行计算。因此,本文提出的地形(海拔/坡度)分异指数具有尺度概念。为便于比较结果,分别划定了5km×5km、10km×10km、20km×20km和县域单元等4个移动窗口,以计算窗口内的平均海拔(坡度)以及相应的 F E F S F E ( F S ) 刻画了土地单元在特定范围内的相对高低(陡缓):若 F E ( F S ) 为1,表示该土地利用栅格单元在指定范围内的平均海拔(坡度); F E ( F S ) 越大,表示土地利用栅格单元分布于相对更高海拔(陡坡)区域;反之, F E ( F S ) 越小,则表示土地利用栅格单元分布于相对更低海拔(缓坡)区域。

3 结果及分析

3.1 土地利用的总体垂直分布特征

根据2015年土地利用图(图2)和各土地利用面积比例统计结果(表1),黔桂喀斯特山地的林地面积最大,为1218.00万hm2,比重超过一半,达到了56.88%;耕地和草地面积分列二、三位,分别为551.18万hm2和306.85万hm2,比重分别达到了25.74%和14.33%;建设用地面积42.18万hm2,排名第四,比重为1.97%;水域比重为1.07%,居第5位;而未利用地面积比重仅为0.01%,由于未利用地面积很小,在后续研究中不再进行分析。
Figure 2 Land use of Guizhou and Guangxi Karst Mountainous Region in 2015

图2 2015年黔桂喀斯特山地土地利用类型分布

Table 1 Area and proportion of land uses of Guizhou and Guangxi Karst Mountainous Region in 2015

表1 2015年黔桂喀斯特山地土地利用面积及比例

耕地 林地 草地 水域 建设用地 未利用地
数量/万hm2 551.18 1 218.00 306.85 22.91 42.18 0.21
比例/% 25.74 56.88 14.33 1.07 1.97 0.01
基于GIS的空间叠置分析,发现不同土地利用类型随海拔变化呈现不同分布特征(图3),总体上耕地、水域和建设用地在低海拔比重较高,而林地和草地在各海拔等级皆有分布。耕地在低海拔分布的比重较高,0~200m的耕地占总面积比重在各等级中最高,达到了31.23%,但在800~1000m、1000~1200m和1200~1400m等三个海拔等级的耕地比重也超过了10%。林地在低于1200m海拔的各等级分布较大,皆超过了10%,其中200~400m等级的比重最大;在大于1200m海拔之后,林地的比重迅速减少。草地在海拔的垂直分布上则更加均匀,除了1600~1800m和1800m以上两个等级外,其余8个等级的面积比重在10%左右,1200~1400m等级的草地面积比重最大,达到了15.19%。水域和建设用地在海拔垂直分布上则呈现类似的分布特征,0~200m等级的面积比重最大,分别达到59.89%和56.40%,而其余等级的面积比重都较低。
Figure 3 Distribution of land uses of Guizhou and Guangxi Karst Mountainous Region in different elevation classes in 2015

图3 2015年黔桂喀斯特山地土地利用海拔分布

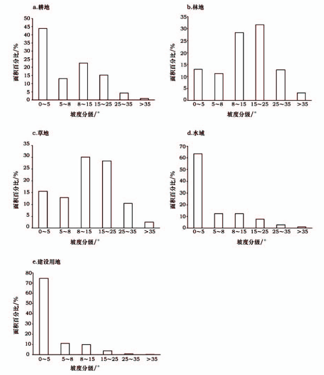
坡度方面,不同土地利用类型随坡度的增加也呈现不同的分布特征(图4,见第1968页)。耕地、水域和建设用地主要分布在坡度较小的平坦区域,而陡坡地区主要被林地和草地所占据。耕地在0~5º等级的比重最高,但仅为43.89%,在易导致水土流失的15º以上坡耕地的比重达到了20.41%,15º~25º、25º~35º以及35º以上等3个等级的坡耕地比重分别是15.31%、4.25%和0.85%,该部分坡耕地应进行有效管理,防治水土流失。林地和草地在坡度分布上较为类似,8º~15º和15º~25º等两个等级的面积比重较大,皆在30%左右,除35º以上等级外,其余3个坡度等级的比重在10%左右。水域和建设用地在坡度分布上也呈现类似的分布特征,在0~5º等级的面积比重最大,分别达到63.64%和74.53%,其余等级的面积比重都很低。
Figure 4 Distribution of land uses of Guizhou and Guangxi Karst Mountainous Region in different slope classes in 2015

图4 2015年黔桂喀斯特山地土地利用坡度分布

3.2 土地利用垂直分布局部差异特征

考虑到研究区在海拔和坡度的空间分布差异显著,提出地形分异指数以表征其土地利用垂直分布特征在局部的相对差异。以海拔分异指数为例,分别计算了5km×5km、10km×10km、20km×20km和县域单元的结果(图5,见第1969页)。5km×5km窗口的海拔分异指数数值范围更为集中,极值少;随着移动窗口大小的增加,极值栅格单元的数量增加,数值范围更大,海拔分异指数空间对比度逐渐增加,到县域单元,则出现明显空间分布差异。可见,统计窗口过小,反映的局部空间信息过于均质化,难以反映各区域的地形特征差异。为便于比较土地利用分布在区域范围的相对差异,下文均采用县域单元的计算结果进行分析(对比度更大)。
Figure 5 Elevation differentiation index of Guizhou and Guangxi Karst Mountainous Region

图5 黔桂喀斯特山地海拔分异指数

将县域单元计算的地形分异指数(图5d)与土地利用图(图2)进行空间叠置,可分别计算各土地利用类型的海拔(坡度)分异指数,以揭示每一土地利用单元垂直方向的空间分布差异。由于水域与建设用地的分布较少,难以有效进行空间展示,因此,本文计算并展示了县域单元内的海拔(坡度)分异指数平均值(图6图7,图7见第1971页)。某土地利用类型的该指数越小,则表明土地利用趋于低海拔或者缓坡分布;反之,则是土地利用集中在高海拔或者陡坡分布。
Figure 6 Mean elevation differentiation index by county unit in Guizhou and Guangxi Karst Mountainous Region

图6 基于县域单元的黔桂喀斯特山地海拔分异指数

Figure 6 Mean slope differentiation index by county unit in Guizhou and Guangxi Karst Mountainous Region

图7 基于县域单元的黔桂喀斯特山地坡度分异指数

对比发现,耕地、水域和建设用地的地形分异指数多小于1,表明上述3类土地利用类型在局部范围内趋于低洼和平缓坡度的区域分布;坡度分异指数数值更多低于海拔分异指数,说明三者趋于缓坡的分布特征更为明显。地形分异指数在广西更低,部分区域3类用地海拔分异指数分别低于0.70、0.50和0.60,坡度指数则分别低于0.53、0.40和0.35。数值较高的主要分布在贵州境内和广西的零星地区,部分地区的指数甚至高于1,呈现出向高海拔和陡坡区域分布的垂直特征。
相反地,林地和草地的海拔(坡度)分异指数则多高于1,两种土地利用类型指数数值较为接近,表明一定范围内相对高海拔和陡坡区域多为林地和草地所占据。空间分布上,林地的地形分异指数高值多分布在广西南部,低值主要分布在研究区中部;草地指数空间分布更为零散,高值和低值在各区皆有分布。

3.3 土地利用垂直分布的梯度特征

比较地形分异指数大小随海拔的变化,可进一步分析各土地利用类型垂直分布随地形因子变化的梯度特征。耕地、水域和建设用地的海拔分异指数呈现自东南向西北递增的空间分布格局(图6),尤其是耕地,随着海拔自东南向西北递增,其海拔分异指数增加的趋势几乎一致,表明随着海拔的增加,耕地、水域和建设用地相对高海拔区域分布的面积比重在增加。而林地则呈现了相反的分布特征,海拔分异指数自东南向西北递减。而草地的空间分布格局则更为零碎,总体上该指数仍然呈现西北部低于东南部。
坡度分异指数方面,耕地和林地仍然呈现截然相反的空间分布特征,耕地的坡度分异指数自东南向西北递增,表明随着海拔的增加,耕地有向相对陡坡区域分布的趋势。林地则与之相反,其坡度分异指数自东南向西北递减。而水域、建设用地和草地的空间分布特征则较为零散,总体上水域和建设用地西北部的坡度分异指数高于东南部,草地则是西北部数值值低于东南部。
上述海拔和坡度分异指数的分布特征表明,喀斯特山地平均海拔更高的县(市)土地资源更为稀缺,人类向高海拔、陡坡区域进行土地资源开发的程度更大,更多出现高海拔、陡坡种植和以及“上山建城”的现象。

4 结论与讨论

本文应用GIS空间分析技术,构建地形分异指数——海拔(坡度)分异指数,结合传统的统计分析方法,刻画和分析喀斯特山地土地利用的垂直分异特征,结果表明:
(1)海拔分布上,耕地比重在0~200m最高,在800~1400m出现第2个峰值;林地在低于1200m海拔分布较大,大于1200m海拔之后迅速减少;草地在不同海拔分布较为均匀,1200~1400m等级的草地面积比重最大;水域和建设用地分布类似,在0~200m的面积比重最大。坡度方面,耕地在0~5º等级的分布最大,但仅为43.89%,15º以上坡耕地的比重达到了20.41%;林地和草地在8º~15º和15º~25º两个等级的面积比重较大;水域和建设用地在0~5º等级的面积比重最大。
(2)本文提出地形分异指数,用以衡量土地利用垂直分布在局部的相对差异。该指数越大,表示土地利用单元在特定范围内越趋于更高海拔(陡坡度)区域分布,反之则趋于更低海拔(缓坡度)区域分布。耕地、水域和建设用地指数多小于1,趋于低洼和平缓区域分布的比重大;林地和草地则多大于1,多趋于相对高海拔和陡坡分布。
(3)地形分异指数揭示的各土地利用类型垂直分布特征与传统方法发现的规律一致,但数值的高低有助于揭示空间的差异性。随着海拔自东南向西北逐步升高,耕地、水域和建设用地的海拔分异指数呈现自东南向西北递增,相反地,林地自东南向西北递减,草地的空间分布则更为零碎;耕地的坡度分异指数也是自东南向西北递增,林地则呈相反的自东南向西北递减,水域、建设用地和草地的空间分布则较为零散。这表明,在喀斯特山地平均海拔更高的县(市),人类向更高海拔、更陡坡区域进行土地资源开发的程度更大,应用地形分异指数揭示了研究区土地利用垂直分布特征的局部相对差异。
本研究还存在一些不足,需进一步验证和完善。本文提出的地形分异指数——海拔(坡度)分异指数是基于不同大小的一定窗口和研究单元进行计算,不同的计算单元,结果存在一定的差异性(图5)。本研究选择县域单元进行最终的计算和分析,并发现了不同土地利用类型较为清晰的空间分布差异,尤其是耕地和林地随着海拔的递减,呈现截然相反的空间分布格局。然而,在不同的研究区,如何选择和确定移动窗口,可在未来的研究中进一步讨论。

The authors have declared that no competing interests exist.

[1]
Lambin E F,Baulies X,Bockstael N, et al. Land-Use and Land-Cover Change (LUCC):Implementation Strategy[R]. IGBP Report No.48 and IHDP Report No.10,1999.

[2]
Ojima D S,Moran E F, McConnell W, et al. Global Land Project:Science Plan and Implementation Strategy[R]. Stock-holm:IGBP Report No.53,2005.

[3]
王思远,张增祥,周全斌,等. 中国土地利用格局及其影响因子分析[J]. 生态学报,2003,23(4):649-656.

[Wang S Y,Zhang Z X,Zhou Q B,et al.Analysis of landscape patterns and driving factors of land use in China[J]. Acta Ecologica Sinica,2003,23(4):649-656.]

[4]
Geist H J,Lambin E F.Proximate causes and underlying driving forces of tropical deforestation[J]. BioScience,2002,52(2):143-150.

[5]
Verburg P H,Soepboer W,Veldkamp A,et al.Modeling the spatial dynamics of regional land use:The CLUE-S model[J]. Environmental Management,2002,30(3):391-405.

[6]
Mottet A,Ladet S,Coqué N,et al.Agricultural land-use change and its drivers in mountain landscapes:a case study in the Pyre-nees[J]. Agriculture,Ecosystems & Environment,2006,114(2):296-310.

[7]
Ludwig J A,Bastin G N,Chewings V H,et al.Leakiness:a new index for monitoring the health of arid and semiarid landscapes using remotely sensed vegetation cover and elevation data[J]. Ecological Indicators,2007,7(2):442-454.

[8]
Adediran A O,Parcharidis I,Poscolieri M,et al.Computer-assisted discrimination of morphological units on north-central Crete (Greece)by applying multivariate statistics to local relief gradients[J]. Geomorphology,2004,58(1):357-370.

[9]
梁发超,刘黎明. 基于地形梯度的土地利用类型分布特征分析-以湖南省浏阳市为例[J]. 资源科学,2010,32(11):2138-2144.

[Liang F C,Liu L M.Analysis on distribution characteristics of land use types based on terrain gradient:a case of Liuyang City in Hunan Province[J]. Resources Science,2010,32(11):2138-2144.]

[10]
李飞,张树文,杨久春,等. 北方农牧交错带农村居民点分布特征及其对土地利用的影响-以科尔沁左翼中旗为例[J]. 地理科学,2015,35(3):328-333.

[Li F,Zhang S W,Yang J C,et al.Spatial distribution of rural settlements in farming-pastoral zone of northern China and its impact on land use pattern:a case study of Korqin Left Wing Middle Banner[J]. Scientia Geo-graphica Sinica,2015,35(3):328-333.]

[11]
陈睿山,蔡运龙. 土地变化科学中的尺度问题与解决途径[J]. 地理研究,2010,29(7):1244-1256.

[Chen R S,Cai Y L.Progress in the study of scale issues in land change science[J]. Geographical Research,2010,29(7):1244-1256.]

[12]
Overmars K,De Koning G,Veldkamp A.Spatial autocorrelation in multi-scale land use models[J]. Ecological modelling,2003,164(2-3):257-270.

[13]
秦鹏,董玉祥. 广州市土地利用空间分布影响因素的粒度效应分析[J]. 资源科学,2013,35(11):2239-2247.

[Qin P,Dong Y X.Grain differences and modeling land use patterns in Guang-zhou[J]. Resources Science,2013,35(11):2239-2247.]

[14]
冯朝阳,于勇,高吉喜,等. 地形因子对京西门头沟区土地利用/覆盖变化的影响[J]. 山地学报,2007,25(3):274-279.

[Feng C Y,Yu Y,Gao J X,et al.Influences of topographic on distri-bution and change of land use and cover in Mentougou District,Beijing[J]. Journal of Mountain Science,2007,25(3):274-279.]

[15]
崔卫国,文倩,刘艳艳,等. 基于DEM的醴陵市土地利用空间格局分析[J]. 资源科学,2008,30(2):228-234.

[Cui W G,Wen Q,Liu Y Y,et al.Analyzing spatial pattern of land use in Liling City based on DEM[J]. Resources Science,2008,30(2):228-234.]

[16]
李丹,刘丹丹,赵金祥. 基于DEM 的山区土地利用变化分析[J]. 水土保持研究,2014,21(1):66-70.

[Li D,Liu D D,Zhao J X.Analysis of land use change in mountain area based on DEM[J]. Research of Soil and Water Conservation,2014,21(1):66-70.]

[17]
斯钧浪,齐伟,曲衍波,等. 胶东山区县域土地利用在地形梯度上的分布特征[J]. 应用生态学报,2009,20(3):679-685.

[Si J L,Qi W,Qu Y B,et al.Distribution characteristics of land use pattern on terrain gradient in Jiaodong mountainous areas at county level[J]. Chinese Journal of Applied Ecology,2009,20(3):679-685.]

[18]
崔步礼,李小雁,姜广辉,等. 基于DEM 的山地丘陵区土地利用/覆被研究-以青海湖流域为例[J]. 自然资源学报,2011,26(5):871-880.

[Cui B L,Li X Y,Jiang G H,et al.Study on land use/cover in mountain area based on the DEM-taking the Qing-hai Lake Basin as an example[J]. Journal of Natural Resources,2011,26(5):871-880.]

[19]
刘瑞民,杨志峰,沈珍瑶,等. 基于DEM 的长江上游土地利用分析[J]. 地理科学进展,2006,25(1):102-108.

[Liu R M,Yang Z F,Shen Z Y,et al.Study on land use/cover change in upper reach of Yangtze River Basin based on the DEM data[J]. Pro-gress in Geography,2006,25(1):102-108.]

[20]
李增加,马友鑫,李红梅,等. 西双版纳土地利用/覆盖变化与地形的关系[J]. 植物生态学报,2008,32(5):1091-1103.

[Li Z J,Ma Y X,Li H M,et al.Relation of land use and cover change to topography in Xishuangbanna,southwest China[J]. Journal of Plant Ecology,2008,32(5):1091-1103.]

[21]
许尔琪,张红旗. 喀斯特山地土地利用变化的垂直分布特征[J]. 中国生态农业学报,2016,24(12):1693-1702.

[Xu E Q,Zhang H Q.Vertical distribution of land use in karst moun-tainous region[J]. Chinese Journal of Eco-Agriculture,2016,24(12):1693-1702.]

[22]
中华人民共和国国家地图集编纂委员会. 中华人民共和国国家自然地图集[M]. 北京:中国地图出版社,1999.

[ The National Atlas Compilation Committee of the People’s Republic of China. National Natural Atlas of the People’s Republic of China[M]. Beijing:China Atlas Press,1999.]

[23]
中国科学院资源环境科学数据中心. 土地利用数据(2015)[EB/OL].[2017-09-10].

[Data Center for Resources and Environmental Sciences,Chinese Academy of Sciences. Land Use Dataset (2015)[EB/OL].[2017-09-10].

[24]
中国科学院计算机网络信息中心地理空间数据云. GDEM数据[EB/OL].[2017-09-10].

[International Scientific & Technical Data Mirror Site,Computer Network Information Center,Chinese Academy of Sciences. GDEM DEM Dataset [EB/OL].[2017-09-10].

Outlines

/